Poslední aktualizace :
27/01/2026
Antibiotikum   Amoxicillin sodium / clavulanic acid  
Perorální roztok
injekce
Stabilita farmaceutických přípravků Stabilita směsí Faktory ovlivňující stabilitu Kompatibilita Odkazy pdf
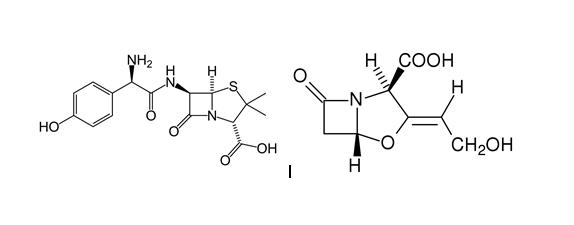
   Chemický vzorec  

Perorální roztok
Stabilita farmaceutických přípravků   Perorální roztok   Stabilita farmaceutických přípravků : Amoxicillin sodium / clavulanic acid     
Obal Origine Pomocné látky Teplota Uchovávání Trvání stability Odkazy
plastová láhev prášek 125/31,25 mg
Augmentin®
Čištěná voda 134 mL
25°C Nespecifikováno
7 Den
2508

plastová láhev prášek 250/62,5 mg
Augmentin®
Čištěná voda 130 mL
25°C Nespecifikováno
7 Den
2508

plastová láhev prášek 125/31,25 mg
Augmentin®
Čištěná voda 134 mL
5°C Nespecifikováno
10 Den
2508

plastová láhev prášek 250/62,5 mg
Augmentin®
Čištěná voda 130 mL
5°C Nespecifikováno
10 Den
2508

Nespecifikováno prášek 5 g/1.25 g
Augmentin®
destilovaná voda >> 100 ml
8°C Nespecifikováno
7 Den
2951


  Mentions Légales