آخر تحديث :
27/01/2026
مضاد حيوي   Amoxicillin sodium / clavulanic acid  
عن طريق الفم
حقن
استقرار المستحضرات الصيدلانية استقرار مخاليط العوامل التي تؤثر على الاستقرار التوافق مراجع pdf
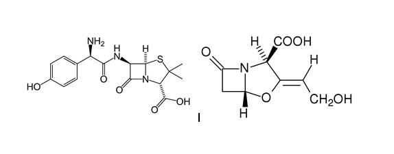
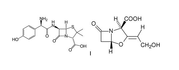
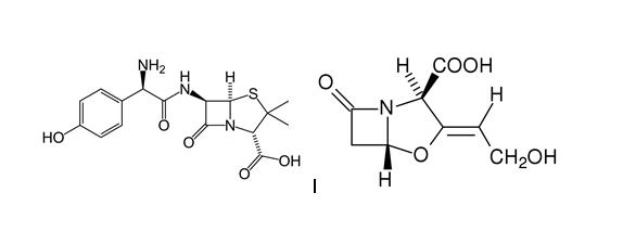
   التركيب الكيميائي  

عن طريق الفم
استقرار المستحضرات الصيدلانية   عن طريق الفم     استقرار المستحضرات الصيدلانية : Amoxicillin sodium / clavulanic acid     
حاوية Origine الاضافات درجة الحرارة تخزين مدة الاستقرار مراجع
زجاجة من البلاستيك مسحوق 125/31,25 mg
Augmentin®
تنقية المياه 134 mL
25°C لم يتم تحديد
7 يوم
2508

زجاجة من البلاستيك مسحوق 250/62,5 mg
Augmentin®
تنقية المياه 130 mL
25°C لم يتم تحديد
7 يوم
2508

زجاجة من البلاستيك مسحوق 125/31,25 mg
Augmentin®
تنقية المياه 134 mL
5°C لم يتم تحديد
10 يوم
2508

زجاجة من البلاستيك مسحوق 250/62,5 mg
Augmentin®
تنقية المياه 130 mL
5°C لم يتم تحديد
10 يوم
2508

لم يتم تحديد مسحوق 5 g/1.25 g
Augmentin®
الماء المقطر >> 100 ml
8°C لم يتم تحديد
7 يوم
2951


  Mentions Légales