zadnja posodobitev :
27/01/2026
Antibiotik   Amoxicillin sodium / clavulanic acid  
Peroralna raztopina
Brizgalka
Stabilnost farmacevtskih preparatov Stabilnost mešanice Faktorji, ki vplivajo na stabilnost Kompatibilnost Viri pdf
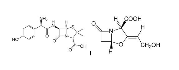
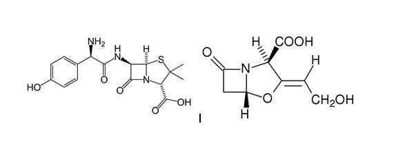
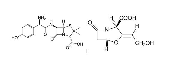
   Kemična formula  

Peroralna raztopina
Stabilnost farmacevtskih preparatov   Peroralna raztopina   Stabilnost farmacevtskih preparatov : Amoxicillin sodium / clavulanic acid     
Vsebnik Origine Ekscipient Temperatura Shranjevanje Trajanje stabilnosti Viri
Plastenka Prašek 125/31,25 mg
Augmentin®
Prečiščena voda 134 mL
25°C Nedoločeno
7 Dan
2508

Plastenka Prašek 250/62,5 mg
Augmentin®
Prečiščena voda 130 mL
25°C Nedoločeno
7 Dan
2508

Plastenka Prašek 125/31,25 mg
Augmentin®
Prečiščena voda 134 mL
5°C Nedoločeno
10 Dan
2508

Plastenka Prašek 250/62,5 mg
Augmentin®
Prečiščena voda 130 mL
5°C Nedoločeno
10 Dan
2508

Nedoločeno Prašek 5 g/1.25 g
Augmentin®
Destilirana voda >> 100 ml
8°C Nedoločeno
7 Dan
2951


  Mentions Légales