Τελευταία ενημέρωση :
27/01/2026
Αντιβιοτικό   Amoxicillin sodium / clavulanic acid  
Πόσιμο διάλυμα
Ενέσιμο
Σταθερότητα και συμβατότητα των φαρμάκων Σταθερότητα σε μίγματα Παράγοντας που επηρεάζει τη σταθερότητα Συμβατότητες Βιβλιογραφία pdf
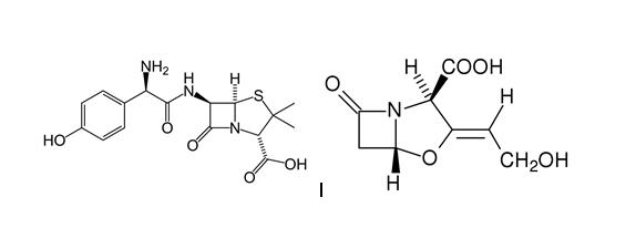
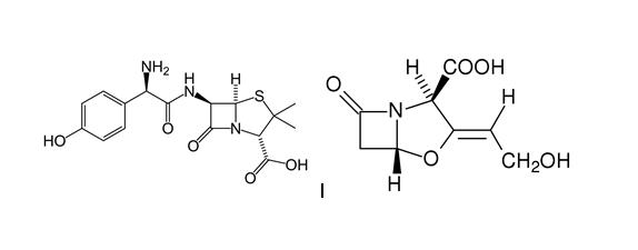
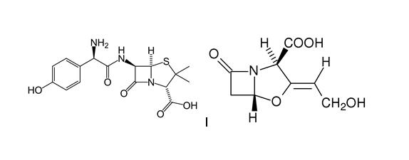
   χημική δομή  

Πόσιμο διάλυμα
Σταθερότητα και συμβατότητα των φαρμάκων   Πόσιμο διάλυμα   Σταθερότητα και συμβατότητα των φαρμάκων : Amoxicillin sodium / clavulanic acid     
Υποδοχέας Origine Έκδοχο Θερμοκρασία Αποθήκευση Διάρκεια σταθερότητας Βιβλιογραφία
Πλαστικό μπουκάλι Σκόνη 125/31,25 mg
Augmentin®
Κεκαθαρμένο νερό 134 mL
25°C Απροσδιόριστο
7 Ημέρα
2508

Πλαστικό μπουκάλι Σκόνη 250/62,5 mg
Augmentin®
Κεκαθαρμένο νερό 130 mL
25°C Απροσδιόριστο
7 Ημέρα
2508

Πλαστικό μπουκάλι Σκόνη 125/31,25 mg
Augmentin®
Κεκαθαρμένο νερό 134 mL
5°C Απροσδιόριστο
10 Ημέρα
2508

Πλαστικό μπουκάλι Σκόνη 250/62,5 mg
Augmentin®
Κεκαθαρμένο νερό 130 mL
5°C Απροσδιόριστο
10 Ημέρα
2508

Απροσδιόριστο Σκόνη 5 g/1.25 g
Augmentin®
Απεσταγμένο νερό >> 100 ml
8°C Απροσδιόριστο
7 Ημέρα
2951


  Mentions Légales