Última actualização :
27/04/2026
antibiótico   Amoxicillin sodium / clavulanic acid  
Solução Oral
injetável
Estabilidade de preparações farmacêuticas Estabilidade em misturas Factores que afectam a sua estabilidade Compatibilidade Bibliografía pdf
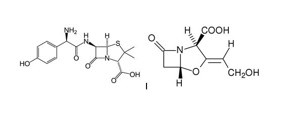
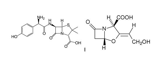
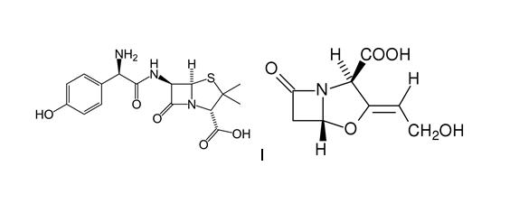
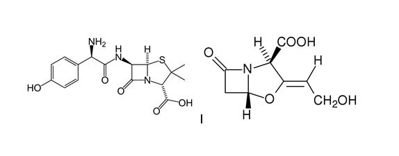
   estrutura química  

Solução Oral
Estabilidade de preparações farmacêuticas   Solução Oral   Estabilidade de preparações farmacêuticas : Amoxicillin sodium / clavulanic acid     
Embalagem Origine excipiente temperatura conservação Duração da estabilidade Bibliografia
frasco de plástico pó 125/31,25 mg
Augmentin®
A água purificada 134 mL
25°C no especificado
7 dia
2508

frasco de plástico pó 250/62,5 mg
Augmentin®
A água purificada 130 mL
25°C no especificado
7 dia
2508

frasco de plástico pó 125/31,25 mg
Augmentin®
A água purificada 134 mL
5°C no especificado
10 dia
2508

frasco de plástico pó 250/62,5 mg
Augmentin®
A água purificada 130 mL
5°C no especificado
10 dia
2508

no especificado pó 5 g/1.25 g
Augmentin®
água destilada >> 100 ml
8°C no especificado
7 dia
2951


  Mentions Légales