Seneste opdatering :
27/04/2026
Antibiotisk   Amoxicillin sodium / clavulanic acid  
Oral opløsning
Injektion
Stabilitet af farmaceutiske tilberedninger Stabilitet i blandinger Faktorer der påvirker stabiliteten Kompatibilitet Bibliografi pdf
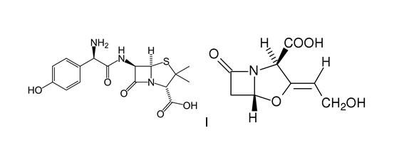
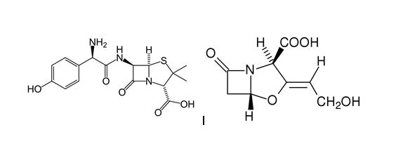
   Kemisk struktur  

Oral opløsning
Stabilitet af farmaceutiske tilberedninger   Oral opløsning   Stabilitet af farmaceutiske tilberedninger : Amoxicillin sodium / clavulanic acid     
Beholder Origine Hjælpestof Temperatur Konservering Varighed af stabilitet Bibliografi
Plastflaske Pulver 125/31,25 mg
Augmentin®
Renset vand 134 mL
25°C Ikke nærmere angivet
7 Dag
2508

Plastflaske Pulver 250/62,5 mg
Augmentin®
Renset vand 130 mL
25°C Ikke nærmere angivet
7 Dag
2508

Plastflaske Pulver 125/31,25 mg
Augmentin®
Renset vand 134 mL
5°C Ikke nærmere angivet
10 Dag
2508

Plastflaske Pulver 250/62,5 mg
Augmentin®
Renset vand 130 mL
5°C Ikke nærmere angivet
10 Dag
2508

Ikke angivet nærmere Pulver 5 g/1.25 g
Augmentin®
Destilleret vand >> 100 ml
8°C Ikke nærmere angivet
7 Dag
2951


  Mentions Légales