Ultimo aggiornamento :
27/01/2026
Antibiotico   Amoxicillin sodium / clavulanic acid  
Soluzione orale
Iniezione
Stabilità dei preparati farmaceutici Stabilità in miscela Fattori che influenzano la stabilità Compatibilità Bibliografia pdf
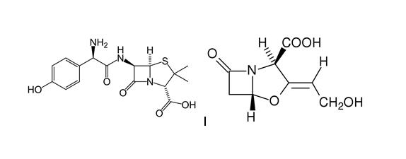
   Struttura chimica  

Soluzione orale
Stabilità dei preparati farmaceutici   Soluzione orale   Stabilità dei preparati farmaceutici : Amoxicillin sodium / clavulanic acid     
contenitore Origine eccipiente Temperatura Conservazione Durata della stabilità Bibliografia
bottiglia di plastica polvere 125/31,25 mg
Augmentin®
Acqua depurata 134 mL
25°C Non precisata
7 Giorno
2508

bottiglia di plastica polvere 250/62,5 mg
Augmentin®
Acqua depurata 130 mL
25°C Non precisata
7 Giorno
2508

bottiglia di plastica polvere 125/31,25 mg
Augmentin®
Acqua depurata 134 mL
5°C Non precisata
10 Giorno
2508

bottiglia di plastica polvere 250/62,5 mg
Augmentin®
Acqua depurata 130 mL
5°C Non precisata
10 Giorno
2508

Non precisato polvere 5 g/1.25 g
Augmentin®
acqua distillata >> 100 ml
8°C Non precisata
7 Giorno
2951


  Mentions Légales