Cập nhật lần cuối :
27/04/2026
Thuốc ức chế miễn dịch   Ciclosporin  
Dung dịch uống
Dạng bôi da Dạng tiêm Thuốc nhỏ mắt
Tính ổn định của các chế phẩm Độ ổn định khi trộn lẫn Những yếu tố ảnh hưởng đến độ ổn định Khả năng tương thích Tài liệu tham khảo Pdf
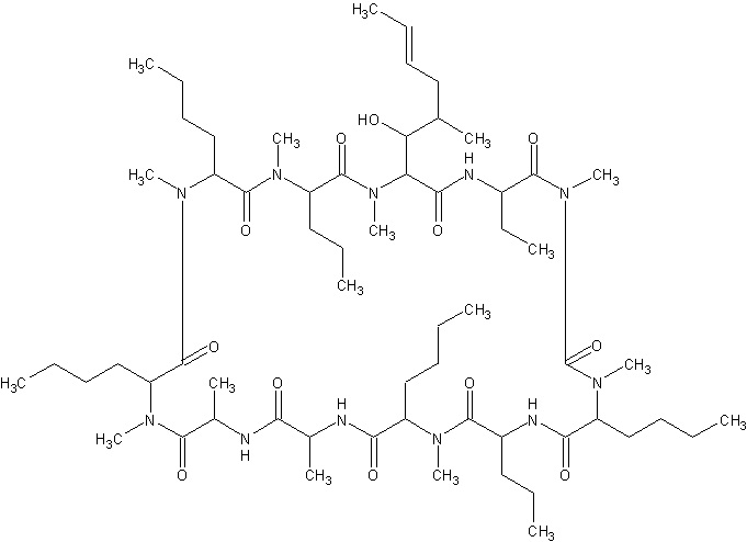
   Cấu trúc hóa học  

Dung dịch uống
Tính ổn định của các chế phẩm   Dung dịch uống   Tính ổn định của các chế phẩm : Ciclosporin     
Bao bì Nguyên bản Tá dược Nhiệt độ Bảo quản Thời gian ổn định Mục lục
Thủy tinh Bột 2000 mg
® = ?
SyrSpend SF® >> 20 ml
25°C Không rõ
90 Ngày
4198

Thủy tinh Bột 2000 mg
® = ?
SyrSpend SF® >> 20 ml
4°C Không rõ
90 Ngày
4198

ống tiêm polypropylene Lọ thuốc tiêm 100 mg/ml
Sandimmune®
Không có
25°C Có hoặc không có tiếp xúc với ánh sáng
28 Ngày
453


  Mentions Légales