Ultimo aggiornamento :
27/04/2026
Immunosoppressore   Ciclosporin  
Soluzione orale
Collirio Iniezione Unguenti
Stabilità dei preparati farmaceutici Stabilità in miscela Fattori che influenzano la stabilità Compatibilità Bibliografia pdf
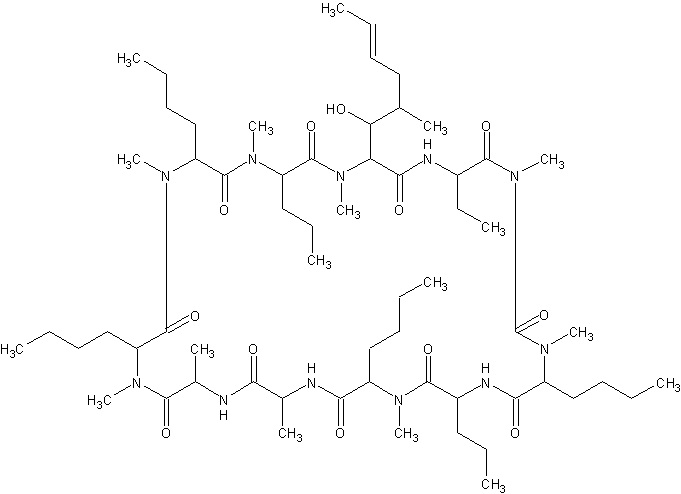
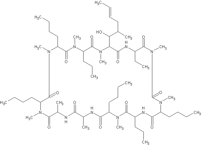
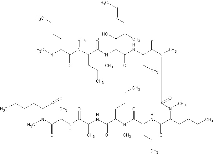
   Struttura chimica  

Soluzione orale
Stabilità dei preparati farmaceutici   Soluzione orale   Stabilità dei preparati farmaceutici : Ciclosporin     
contenitore Origine eccipiente Temperatura Conservazione Durata della stabilità Bibliografia
Vetro polvere 2000 mg
® = ?
SyrSpend SF® >> 20 ml
25°C Non precisata
90 Giorno
4198

Vetro polvere 2000 mg
® = ?
SyrSpend SF® >> 20 ml
4°C Non precisata
90 Giorno
4198

siringa polipropilene Bottiglia di medicina per l'iniezione 100 mg/ml
Sandimmune®
Nessuno
25°C Con o senza luce
28 Giorno
453


  Mentions Légales