Останнє оновлення :
27/04/2026
Імунодепресант   Ciclosporin  
Розчин для перорального застосування
ін'єкція Мазі Очні краплі
Стабільність фармацевтичних препаратів Стійкість сумішей Фактори, що впливають на стабільність Сумісність Список літератури pdf
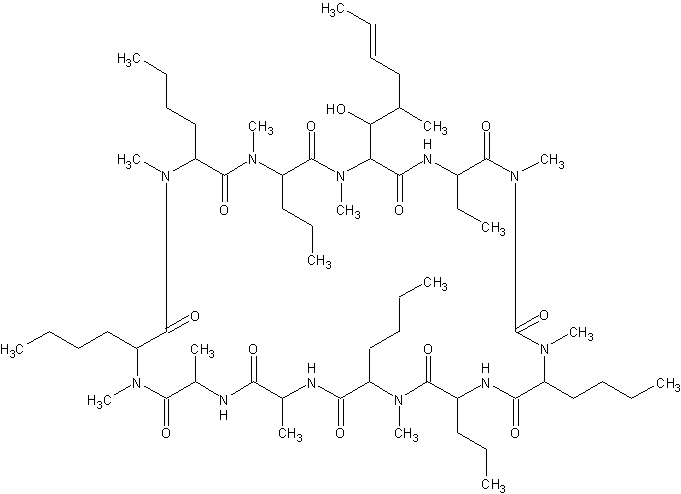
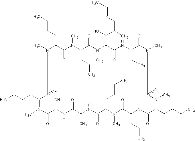
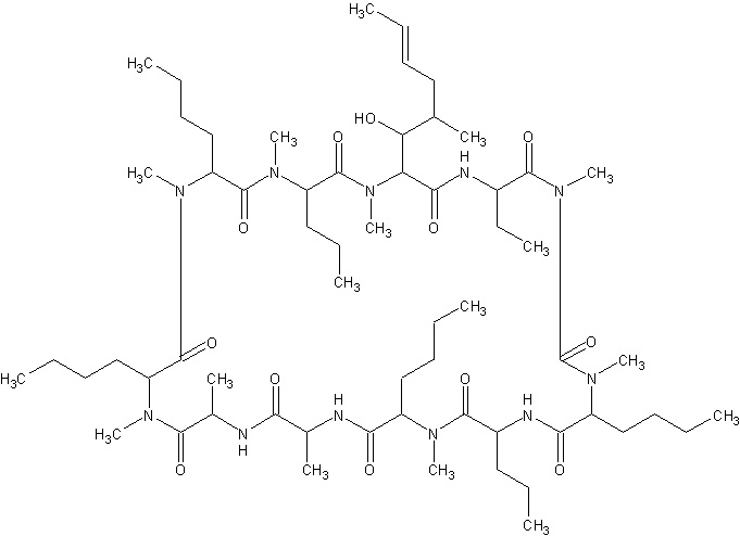
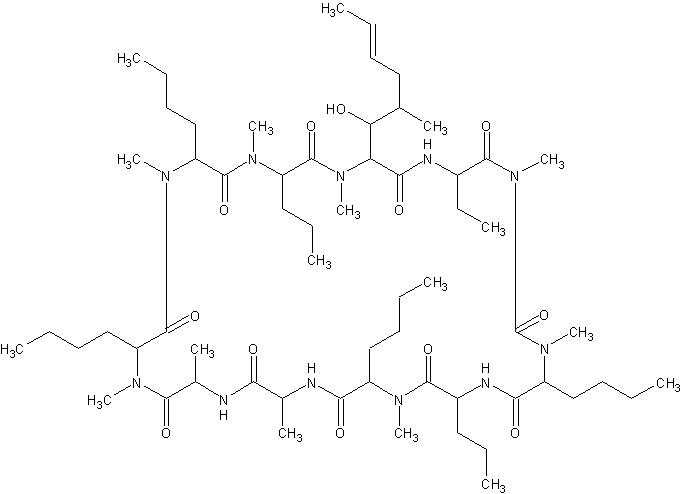
   Хімічна структура  

Розчин для перорального застосування
Стабільність фармацевтичних препаратів   Розчин для перорального застосування   Стабільність фармацевтичних препаратів : Ciclosporin     
Контейнер Origine допоміжна речовина температура Зберігання Тривалість стабільності Список літератури
скло powder 2000 mg
® = ?
SyrSpend SF® >> 20 ml
25°C Не визначено
90 День
4198

скло powder 2000 mg
® = ?
SyrSpend SF® >> 20 ml
4°C Не визначено
90 День
4198

Поліпропіленовий шприц Пляшка для ін'єкцій 100 mg/ml
Sandimmune®
Жодного
25°C Зі світлом чи без
28 День
453


  Mentions Légales