Laatste update :
03/03/2026
Immunosuppressivum   Ciclosporin  
Orale Oplossing
injecteerbaar geneesmiddel Oogwater zalf
Stabiliteit van farmaceutische preparaten Stabiliteit in mengsels Factoren die de stabiliteit beïnvloeden Verenigbaarheden Literatuur pdf
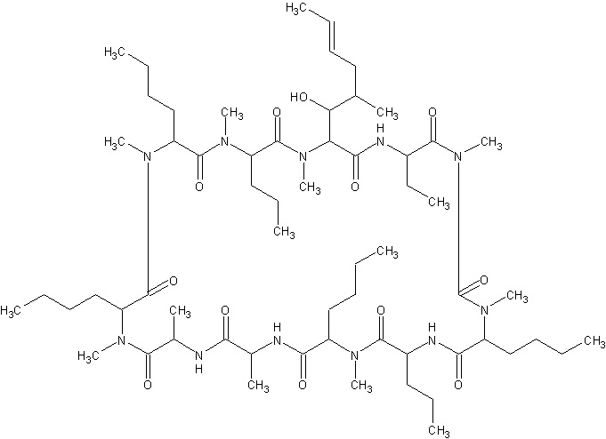
   Molecuulstructuur  

Orale Oplossing
Stabiliteit in mengsels   Orale Oplossing   Stabiliteit in mengsels : Ciclosporin     
geen gegevens

  Mentions Légales