最新更新 :
27/04/2026
免疫抑制剂   Ciclosporin  
口服剂
注射液 眼药水 药膏
制剂的稳定性 混合物稳定性 影响稳定性的因素 兼容性 引用文献 PDF
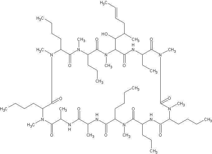
   化学式  

口服剂
制剂的稳定性   口服剂   制剂的稳定性 : Ciclosporin     
容器 Origine 添加剂 温度 保存 穩定持續時間 引用文献
玻璃 粉剂 2000 mg
® = ?
SyrSpend SF® >> 20 ml
25°C 无特殊要求
90 白天
4198

玻璃 粉剂 2000 mg
® = ?
SyrSpend SF® >> 20 ml
4°C 无特殊要求
90 白天
4198

注射器  聚丙烯 注射用瓶 100 mg/ml
Sandimmune®
25°C 光/避光
28 白天
453


  Mentions Légales