Zadnji put ažurirano :
27/04/2026
imunosupresori   Ciclosporin  
oralna otopina
injekcija kapi za oko masti
Stabilnost farmaceutskih pripravaka Stabilnost mješavine Stabilizacijski faktor Kompatibilnosti Bibliografija pdf
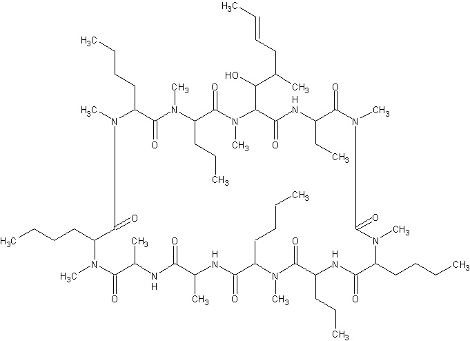
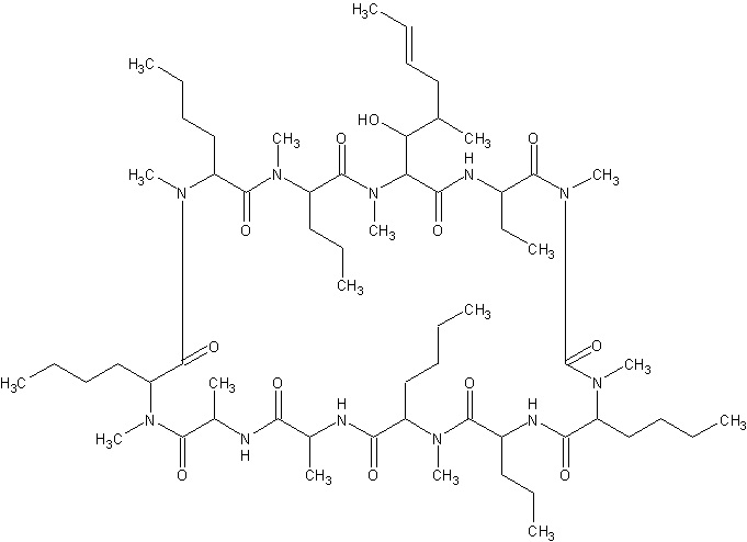
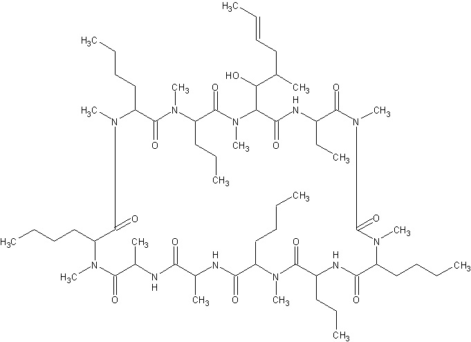
   Kemijska struktura  

oralna otopina
Stabilnost farmaceutskih pripravaka   oralna otopina     Stabilnost farmaceutskih pripravaka : Ciclosporin     
Kontejner Origine pomoćna tvar temperatura Konzerviranje Trajanje stabilnosti Bibliografija
čaša prašak 2000 mg
® = ?
SyrSpend SF® >> 20 ml
25°C nespecifičan
90 dan
4198

čaša prašak 2000 mg
® = ?
SyrSpend SF® >> 20 ml
4°C nespecifičan
90 dan
4198

špric polipropilen bočica za injekcije 100 mg/ml
Sandimmune®
nijedan
25°C Sa i bez svjetlosti
28 dan
453


  Mentions Légales