Последно актуализиране :
27/04/2026
Имунопотискащ   Ciclosporin  
Орален разтвор
Инжекция/Инжекционен Капки за очи Унгвент/Унгвенти
Стабилност на лекарствени препарати Стабилност на смеси Фактори, повлияващи стабилността Съвместимост Библиография Pdf
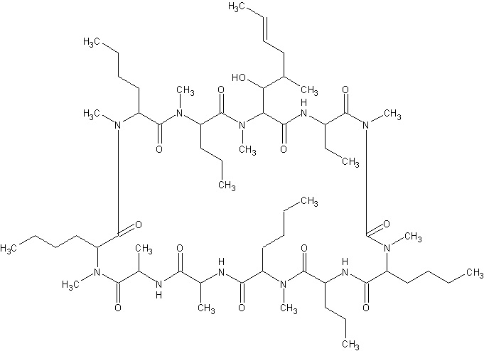
   Химична структура  

Орален разтвор
Стабилност на лекарствени препарати   Орален разтвор   Стабилност на лекарствени препарати : Ciclosporin     
Контейнер Origine Помощно вещество Температура Съхранение Продължителност на стабилността Библиография
Стъкло Прах 2000 mg
® = ?
СирСпенд SF® >> 20 ml
25°C Не е уточнено
90 Ден
4198

Стъкло Прах 2000 mg
® = ?
СирСпенд SF® >> 20 ml
4°C Не е уточнено
90 Ден
4198

шприц полипропилен Фпакон 100 mg/ml
Sandimmune®
Няма
25°C С или без светлина
28 Ден
453


  Mentions Légales