Senaste uppdateringen :
27/01/2026
Immunsuppressivum   Ciclosporin  
Oral lösning
injektion ögondroppar Salvor
Stabilitet av läkemedel Stabilitet i blandningar Faktorer som påverkar stabiliteten Kompatibilitet Hänvisningar pdf
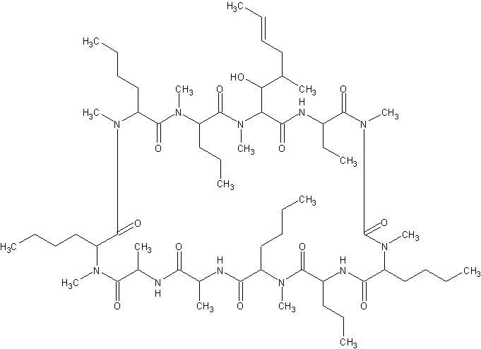
   Molekylstruktur  

Oral lösning
Stabilitet av läkemedel   Oral lösning   Stabilitet av läkemedel : Ciclosporin     
Behållare Origine Hjälpämne Temperatur Förvaring Stabilitets varaktighet Hänvisningar
Glas Pulver 2000 mg
® = ?
SyrSpend SF® >> 20 ml
25°C Ej angiven
90 Dag
4198

Glas Pulver 2000 mg
® = ?
SyrSpend SF® >> 20 ml
4°C Ej angiven
90 Dag
4198

Spruta polypropen injektionsflaska 100 mg/ml
Sandimmune®
Ingen
25°C Med eller utan ljus
28 Dag
453


  Mentions Légales