Utolsó frissítés :
27/04/2026
Immunszuppresszív szer   Ciclosporin  
belsőleges oldat
Injekció kenőcs Szemcsepp
Stabilitása gyógyszerészeti készítmények A keverékek stabilitása Stabilitást befolyásoló tényezők Kompatibilitás Irodalom pdf
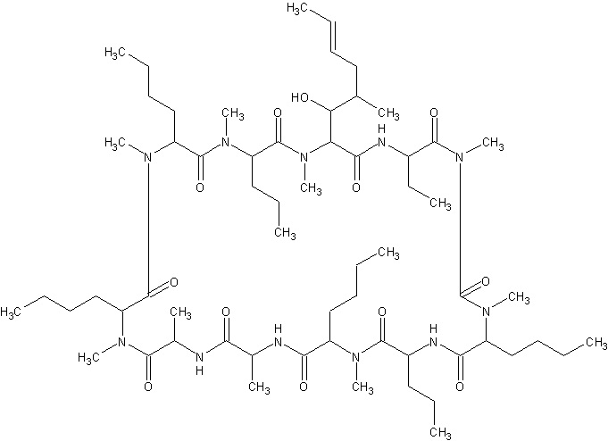
   Kémiai szerkezet   

belsőleges oldat
Stabilitása gyógyszerészeti készítmények   belsőleges oldat   Stabilitása gyógyszerészeti készítmények : Ciclosporin     
Csomagolás Origine segédanyag Hőmérséklet Tárolás A stabilitás időtartama Irodalom
Üveg por 2000 mg
® = ?
SyrSpend SF® >> 20 ml
25°C Nincs meghatározva
90 Nap
4198

Üveg por 2000 mg
® = ?
SyrSpend SF® >> 20 ml
4°C Nincs meghatározva
90 Nap
4198

fecskendő polipropilén Injekcióhoz való űveg 100 mg/ml
Sandimmune®
nincs
25°C Fénnyel vagy anélkül
28 Nap
453


  Mentions Légales