zadnja posodobitev :
27/04/2026
Zdravilo za zaviranje imunske odzivnosti   Ciclosporin  
Peroralna raztopina
Brizgalka Kapljice za oči Mazila
Stabilnost farmacevtskih preparatov Stabilnost mešanice Faktorji, ki vplivajo na stabilnost Kompatibilnost Viri pdf
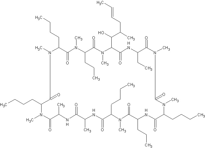
   Kemična formula  

Peroralna raztopina
Stabilnost farmacevtskih preparatov   Peroralna raztopina   Stabilnost farmacevtskih preparatov : Ciclosporin     
Vsebnik Origine Ekscipient Temperatura Shranjevanje Trajanje stabilnosti Viri
Steklo Prašek 2000 mg
® = ?
SyrSpend SF® >> 20 ml
25°C Nedoločeno
90 Dan
4198

Steklo Prašek 2000 mg
® = ?
SyrSpend SF® >> 20 ml
4°C Nedoločeno
90 Dan
4198

Brizgalka polipropilen Medicinske steklenica za injiciranje 100 mg/ml
Sandimmune®
Nič
25°C Z ali brez svetlobe
28 Dan
453


  Mentions Légales