Cập nhật lần cuối :
27/04/2026
Thuốc ức chế miễn dịch   Ciclosporin  
Dung dịch uống
Dạng bôi da Dạng tiêm Thuốc nhỏ mắt
Tính ổn định của các chế phẩm Độ ổn định khi trộn lẫn Những yếu tố ảnh hưởng đến độ ổn định Khả năng tương thích Tài liệu tham khảo Pdf
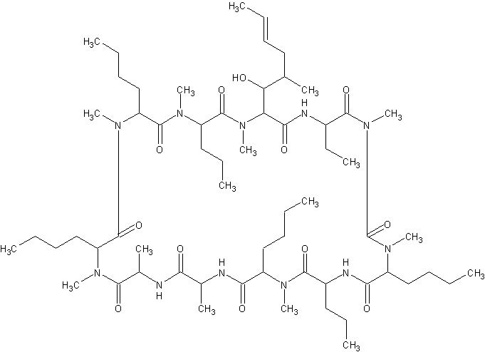
   Cấu trúc hóa học  

Dung dịch uống

Những yếu tố ảnh hưởng đến độ ổn định   Dung dịch uống   Những yếu tố ảnh hưởng đến độ ổn định : Ciclosporin        
Không có dữ liệu

  Mentions Légales