Ultimo aggiornamento :
27/04/2026
Immunosoppressore   Ciclosporin  
Soluzione orale
Collirio Iniezione Unguenti
Stabilità dei preparati farmaceutici Stabilità in miscela Fattori che influenzano la stabilità Compatibilità Bibliografia pdf
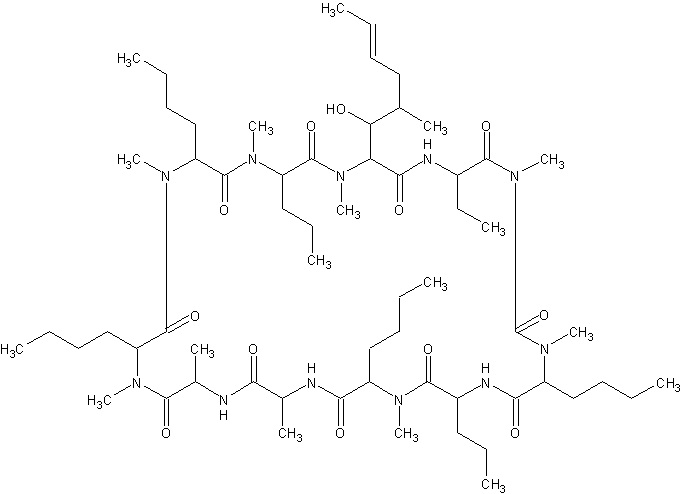
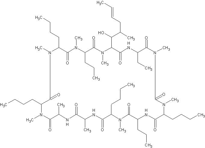
   Struttura chimica  

Soluzione orale

Fattori che influenzano la stabilità   Soluzione orale   Fattori che influenzano la stabilità : Ciclosporin        
Assenza di dati

  Mentions Légales