Last update :
27/04/2026
Immunosuppressant   Ciclosporin  
Oral solution
Eye-drops injection Ointments
Stability of pharmaceutical preparations Stability of mixtures Factors which affect stability Compatibility References pdf
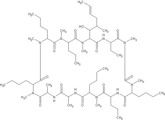
   Chemical structure  

Oral solution

Factors which affect stability   Oral solution   Factors which affect stability : Ciclosporin        
No data

  Mentions Légales