Son güncelleme :
27/04/2026
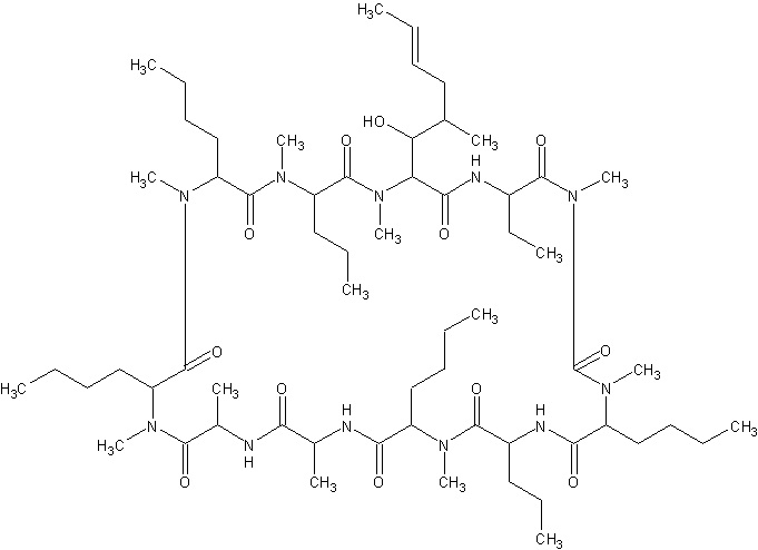
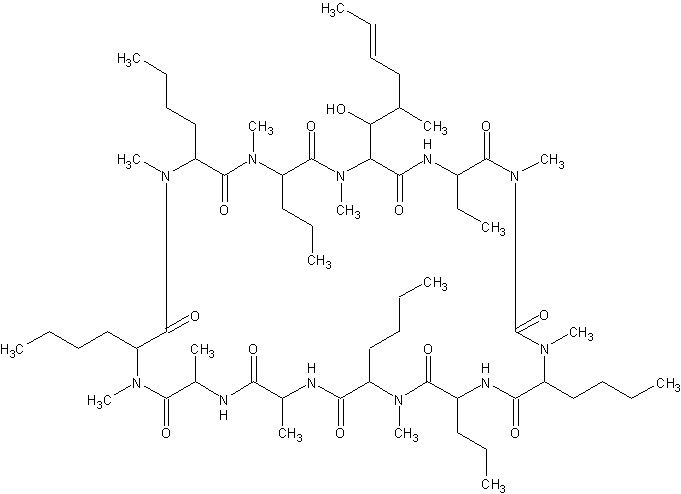
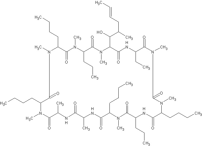
Immünosupresan   Ciclosporin  
Oral solüsyon / oral çözelti
Enjeksiyon Göz damlası Merhem
Farmasötik preparatlar Kararlılığı Karışımlardaki stabilitesi Stabiliteyi etkileyen faktörler Uyumluluk Kaynaklar pdf
   Kimyasal yapı   

Oral solüsyon / oral çözelti

Stabiliteyi etkileyen faktörler    Oral solüsyon / oral çözelti   Stabiliteyi etkileyen faktörler : Ciclosporin        
veri yok

  Mentions Légales