zadnja posodobitev :
27/04/2026
Zdravilo za zaviranje imunske odzivnosti   Ciclosporin  
Peroralna raztopina
Brizgalka Kapljice za oči Mazila
Stabilnost farmacevtskih preparatov Stabilnost mešanice Faktorji, ki vplivajo na stabilnost Kompatibilnost Viri pdf
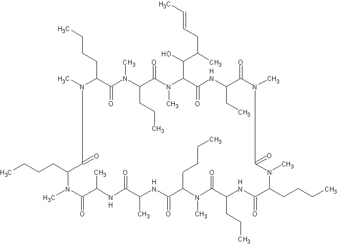
   Kemična formula  

Peroralna raztopina

Faktorji, ki vplivajo na stabilnost   Peroralna raztopina   Faktorji, ki vplivajo na stabilnost : Ciclosporin        
ni podatka

  Mentions Légales