Τελευταία ενημέρωση :
27/04/2026
Ανοσοκατασταλτικό   Ciclosporin  
Πόσιμο διάλυμα
Αλοιφές Ενέσιμο Οφθαλμικές σταγόνες
Σταθερότητα και συμβατότητα των φαρμάκων Σταθερότητα σε μίγματα Παράγοντας που επηρεάζει τη σταθερότητα Συμβατότητες Βιβλιογραφία pdf
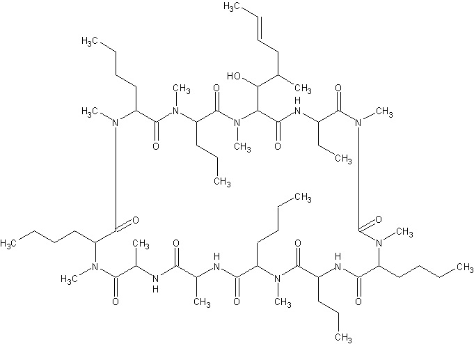
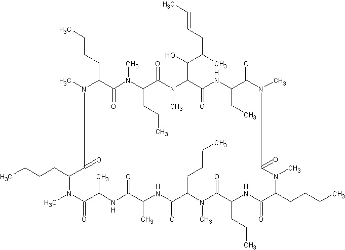
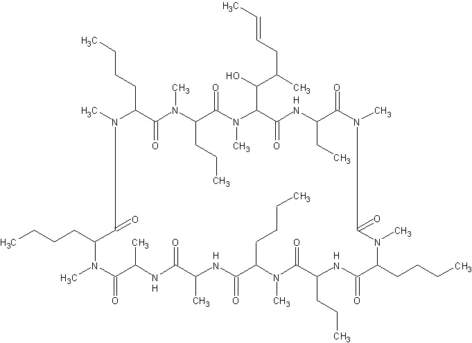
   χημική δομή  

Πόσιμο διάλυμα

Παράγοντας που επηρεάζει τη σταθερότητα   Πόσιμο διάλυμα   Παράγοντας που επηρεάζει τη σταθερότητα : Ciclosporin        
Δεν υπάρχουν πληροφορίες

  Mentions Légales