Poslední aktualizace :
27/04/2026
Imunosupresivum   Ciclosporin  
Perorální roztok
Humbuk injekce Masti
Stabilita farmaceutických přípravků Stabilita směsí Faktory ovlivňující stabilitu Kompatibilita Odkazy pdf
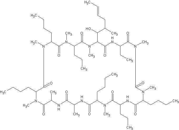
   Chemický vzorec  

Perorální roztok

Faktory ovlivňující stabilitu   Perorální roztok   Faktory ovlivňující stabilitu : Ciclosporin        
žádná data

  Mentions Légales