viimane versioon :
27/04/2026
immunosupressant   Ciclosporin  
suukaudne lahus
salv Silmatilgad Süsteravim
Stabiilsust ravimpreparaadid Stabiilsust mõjutavad tegurid stabiilsust mõjutavad faktorid Sobimatus Viited pdf
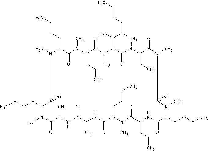
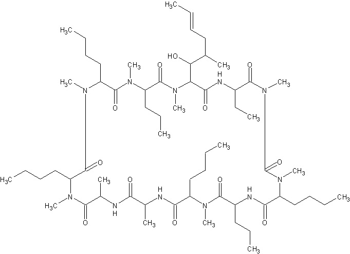
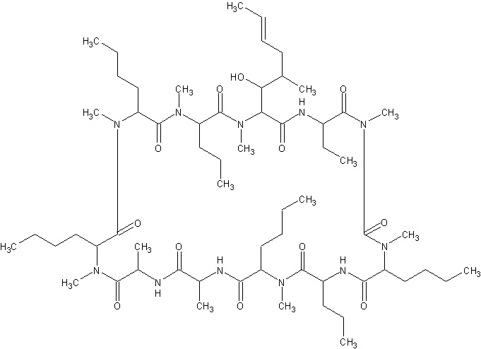
   keemiline struktuur  

suukaudne lahus

stabiilsust mõjutavad faktorid   suukaudne lahus   stabiilsust mõjutavad faktorid : Ciclosporin        
andmed puuduvad

  Mentions Légales