آخر تحديث :
27/04/2026
مخفض المناعة   Ciclosporin  
عن طريق الفم
المراهم حقن قطرات العين
استقرار المستحضرات الصيدلانية استقرار مخاليط العوامل التي تؤثر على الاستقرار التوافق مراجع pdf
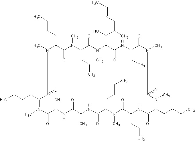
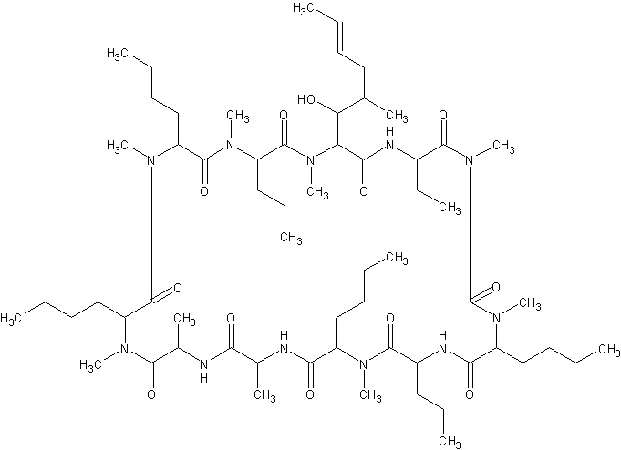
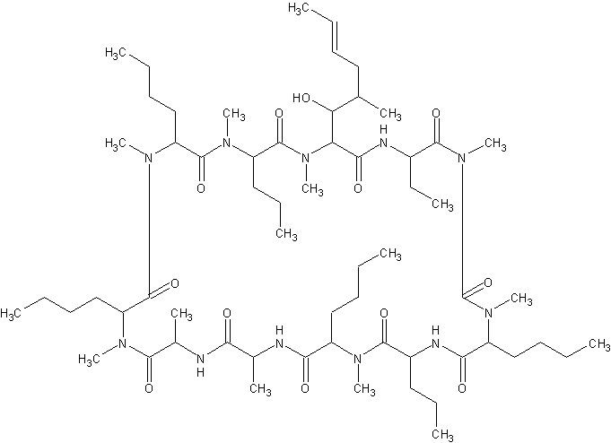
   التركيب الكيميائي  

عن طريق الفم

العوامل التي تؤثر على الاستقرار   عن طريق الفم     العوامل التي تؤثر على الاستقرار : Ciclosporin        
لا توجد بيانات

  Mentions Légales