Son güncelleme :
27/04/2026
Immünosupresan   Ciclosporin  
Oral solüsyon / oral çözelti
Enjeksiyon Göz damlası Merhem
Farmasötik preparatlar Kararlılığı Karışımlardaki stabilitesi Stabiliteyi etkileyen faktörler Uyumluluk Kaynaklar pdf
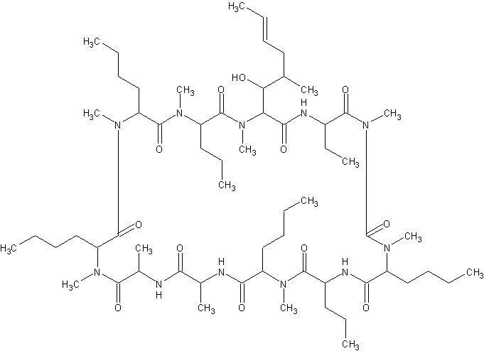
   Kimyasal yapı   

Oral solüsyon / oral çözelti
Uyumluluk   Oral solüsyon / oral çözelti   Uyumluluk : Ciclosporin              
veri yok

  Mentions Légales