Ultimo aggiornamento :
27/04/2026
Immunosoppressore   Ciclosporin  
Soluzione orale
Collirio Iniezione Unguenti
Stabilità dei preparati farmaceutici Stabilità in miscela Fattori che influenzano la stabilità Compatibilità Bibliografia pdf
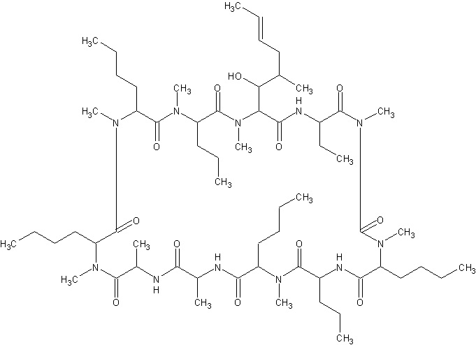
   Struttura chimica  

Soluzione orale
Compatibilità   Soluzione orale   Compatibilità : Ciclosporin              
Assenza di dati

  Mentions Légales