viimane versioon :
27/04/2026
immunosupressant   Ciclosporin  
suukaudne lahus
salv Silmatilgad Süsteravim
Stabiilsust ravimpreparaadid Stabiilsust mõjutavad tegurid stabiilsust mõjutavad faktorid Sobimatus Viited pdf
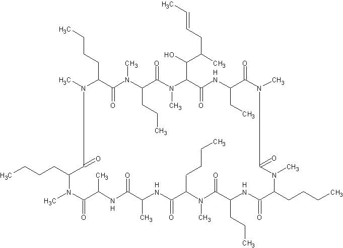
   keemiline struktuur  

suukaudne lahus
Sobimatus   suukaudne lahus   Sobimatus : Ciclosporin              
andmed puuduvad

  Mentions Légales