Last update :
27/04/2026
Immunosuppressant   Ciclosporin  
Oral solution
Eye-drops injection Ointments
Stability of pharmaceutical preparations Stability of mixtures Factors which affect stability Compatibility References pdf
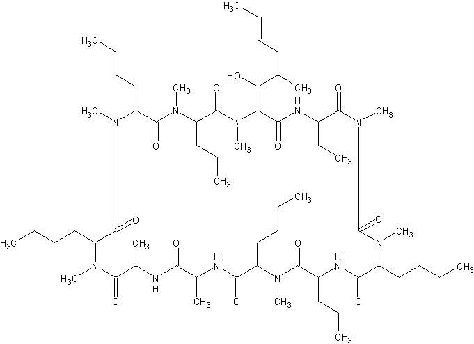
   Chemical structure  

Oral solution
Compatibility   Oral solution   Compatibility : Ciclosporin              
No data

  Mentions Légales