Poslední aktualizace :
27/04/2026
Imunosupresivum   Ciclosporin  
Perorální roztok
Humbuk injekce Masti
Stabilita farmaceutických přípravků Stabilita směsí Faktory ovlivňující stabilitu Kompatibilita Odkazy pdf
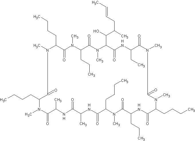
   Chemický vzorec  

Perorální roztok
Kompatibilita   Perorální roztok   Kompatibilita : Ciclosporin              
žádná data

  Mentions Légales