Последно актуализиране :
27/01/2026
Имунопотискащ   Ciclosporin  
Орален разтвор
Инжекция/Инжекционен Капки за очи Унгвент/Унгвенти
Стабилност на лекарствени препарати Стабилност на смеси Фактори, повлияващи стабилността Съвместимост Библиография Pdf
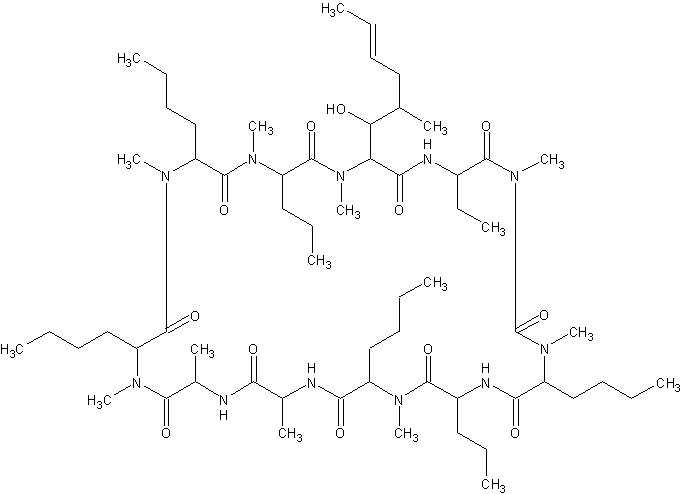
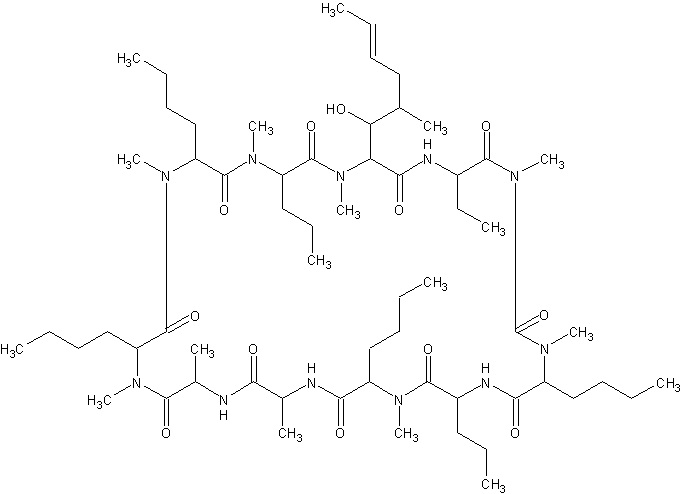
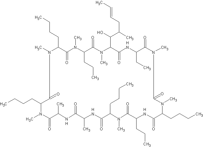
   Химична структура  

Орален разтвор
Съвместимост   Орален разтвор   Съвместимост : Ciclosporin              
Няма данни

  Mentions Légales