Laatste update :
27/04/2026
Immunosuppressivum   Ciclosporin  
Orale Oplossing
injecteerbaar geneesmiddel Oogwater zalf
Stabiliteit van farmaceutische preparaten Stabiliteit in mengsels Factoren die de stabiliteit beïnvloeden Verenigbaarheden Literatuur pdf
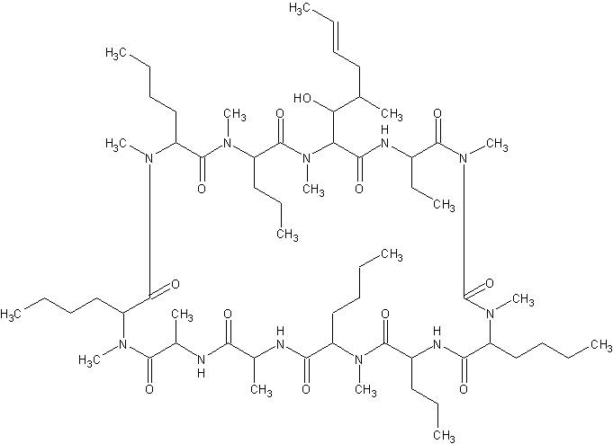
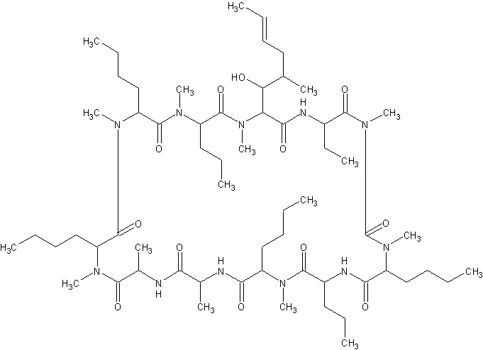
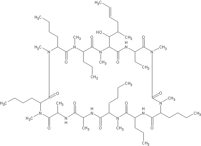
   Molecuulstructuur  

Orale Oplossing
Verenigbaarheden   Orale Oplossing   Verenigbaarheden : Ciclosporin              
geen gegevens

  Mentions Légales