Ultimele actualizari :
27/04/2026
Imunosupresor   Ciclosporin  
Soluţie orală
colir Injectabil Unguente
Stabilitatea preparatelor farmaceutice Stabilitatea in amestec Factorii care influenteaza stabilitatea Compatibilitate Bibliografie pdf
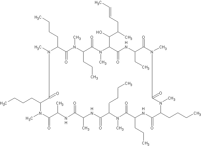
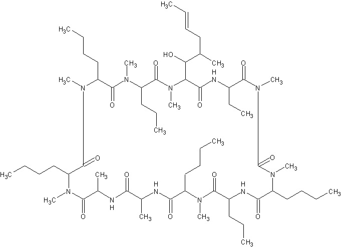
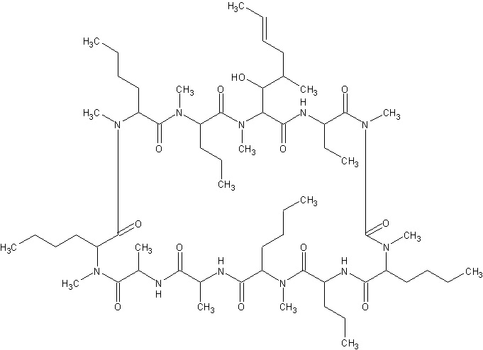
   Formula chimica  

Soluţie orală
Compatibilitate   Soluţie orală   Compatibilitate : Ciclosporin              
Absenta de date

  Mentions Légales