zadnja posodobitev :
27/04/2026
Zdravilo za zaviranje imunske odzivnosti   Ciclosporin  
Peroralna raztopina
Brizgalka Kapljice za oči Mazila
Stabilnost farmacevtskih preparatov Stabilnost mešanice Faktorji, ki vplivajo na stabilnost Kompatibilnost Viri pdf
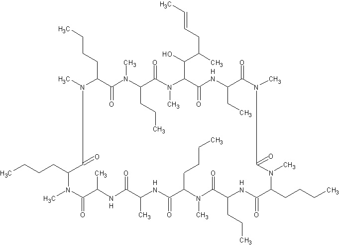
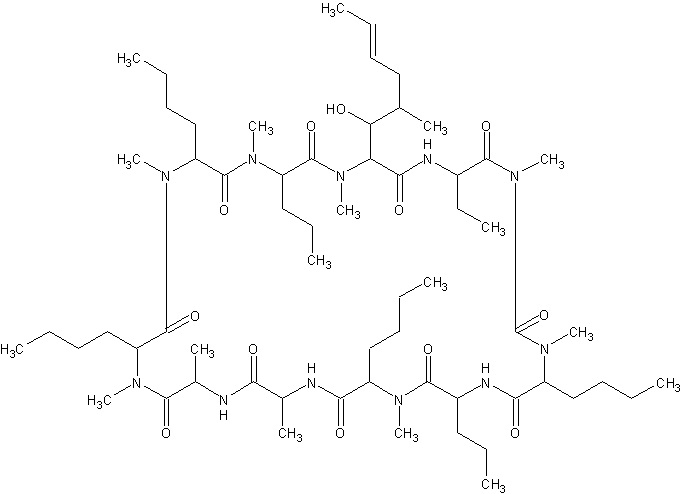
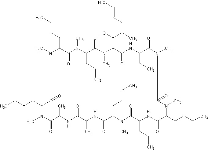
   Kemična formula  

Peroralna raztopina
Kompatibilnost   Peroralna raztopina   Kompatibilnost : Ciclosporin              
ni podatka

  Mentions Légales