Останнє оновлення :
18/03/2026
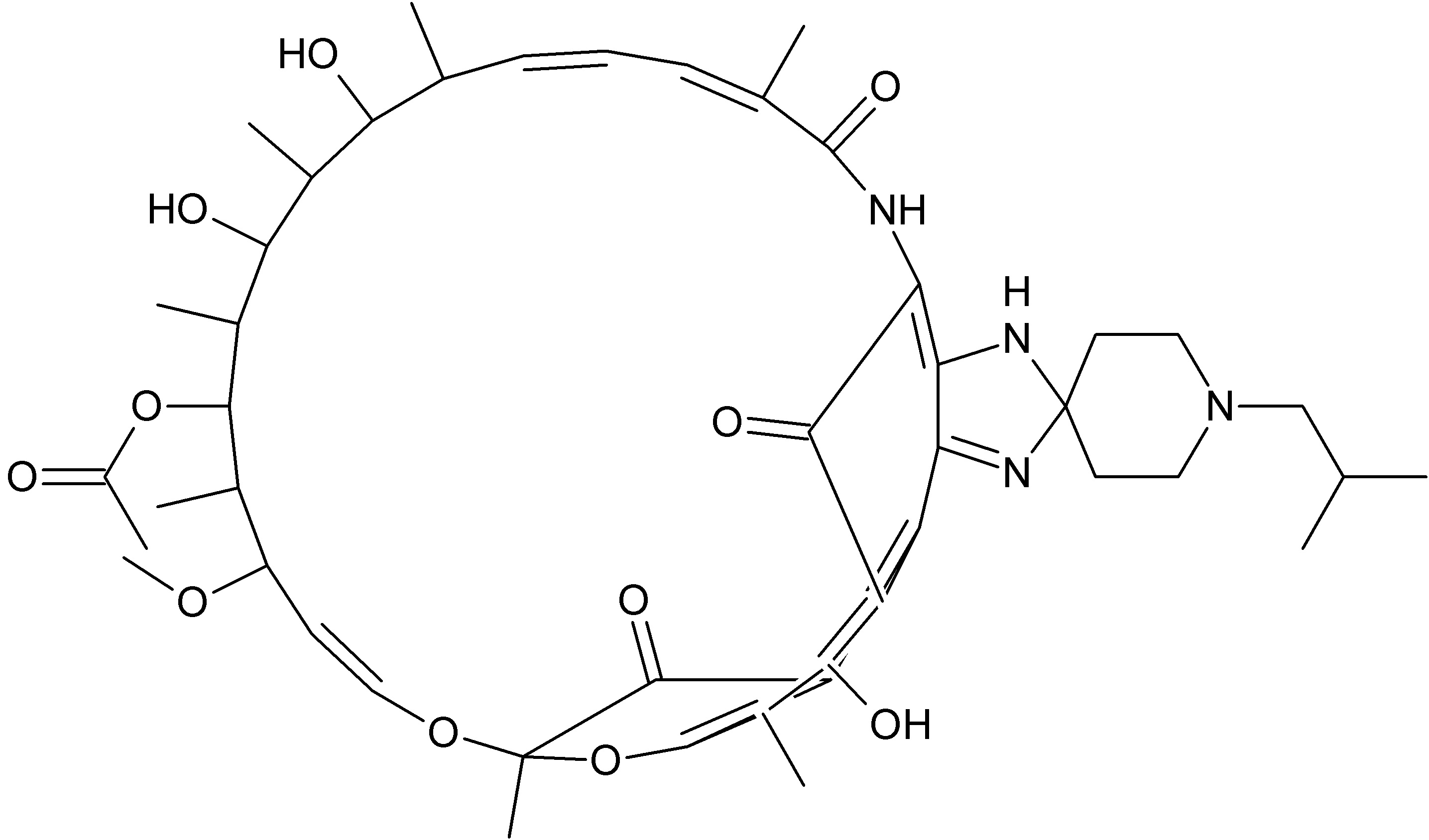
Антибіотик   Rifabutin  
Розчин для перорального застосування
Стабільність фармацевтичних препаратів Стійкість сумішей Фактори, що впливають на стабільність Сумісність Список літератури pdf
   Хімічна структура  

Розчин для перорального застосування
Стабільність фармацевтичних препаратів   Розчин для перорального застосування   Стабільність фармацевтичних препаратів : Rifabutin     
Контейнер Origine допоміжна речовина температура Зберігання Тривалість стабільності Список літератури
пластикова пляшка Капсельн 200 mg
Mycobutin®
Вишневий сироп >>10ml
25°C Не визначено
84 День
2419

пластикова пляшка Капсельн 200 mg
Mycobutin®
OraPlus® / OraSweet® (1:1) >>10ml
25°C Не визначено
84 День
2419

пластикова пляшка Капсельн 200 mg
Mycobutin®
Вишневий сироп >>10ml
30-40°C Не визначено
56 День
2419

пластикова пляшка Капсельн 200 mg
Mycobutin®
OraPlus® / OraSweet® (1:1) >>10ml
30-40°C Не визначено
84 День
2419

пластикова пляшка Капсельн 200 mg
Mycobutin®
Вишневий сироп >>10ml
4°C Не визначено
84 День
2419

пластикова пляшка Капсельн 200 mg
Mycobutin®
OraPlus® / OraSweet® (1:1) >>10ml
4°C Не визначено
84 День
2419


  Mentions Légales