Last update :
27/01/2026
Infostab
List of drugs
Summary lists
Search for compatibilities
Y-site compatibility table
References
Research teams
valistab
Poster
Links
Sponsors
Authors
User’s guide
Newsletter
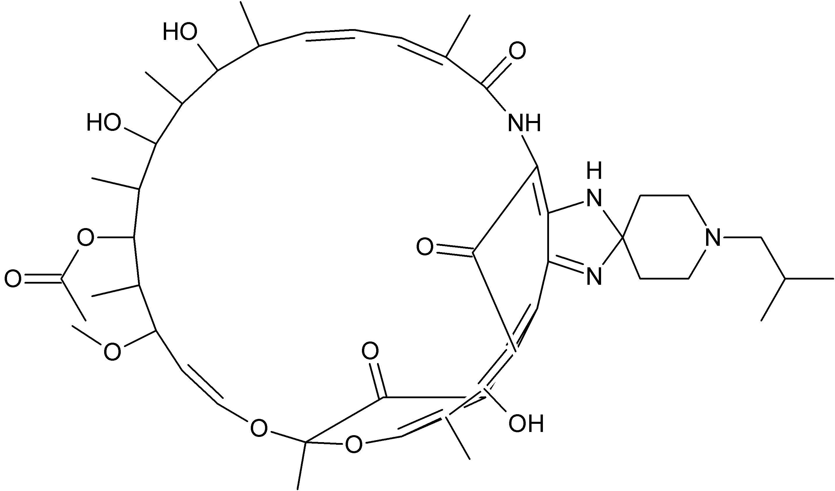
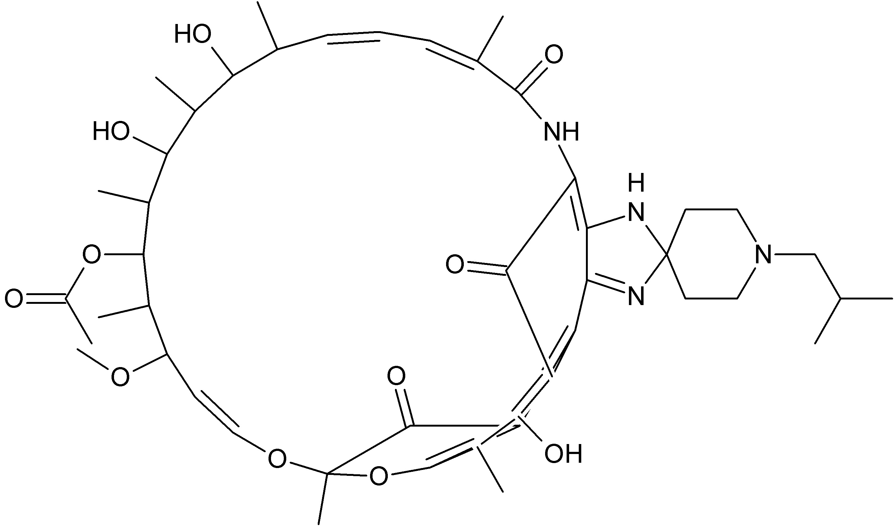
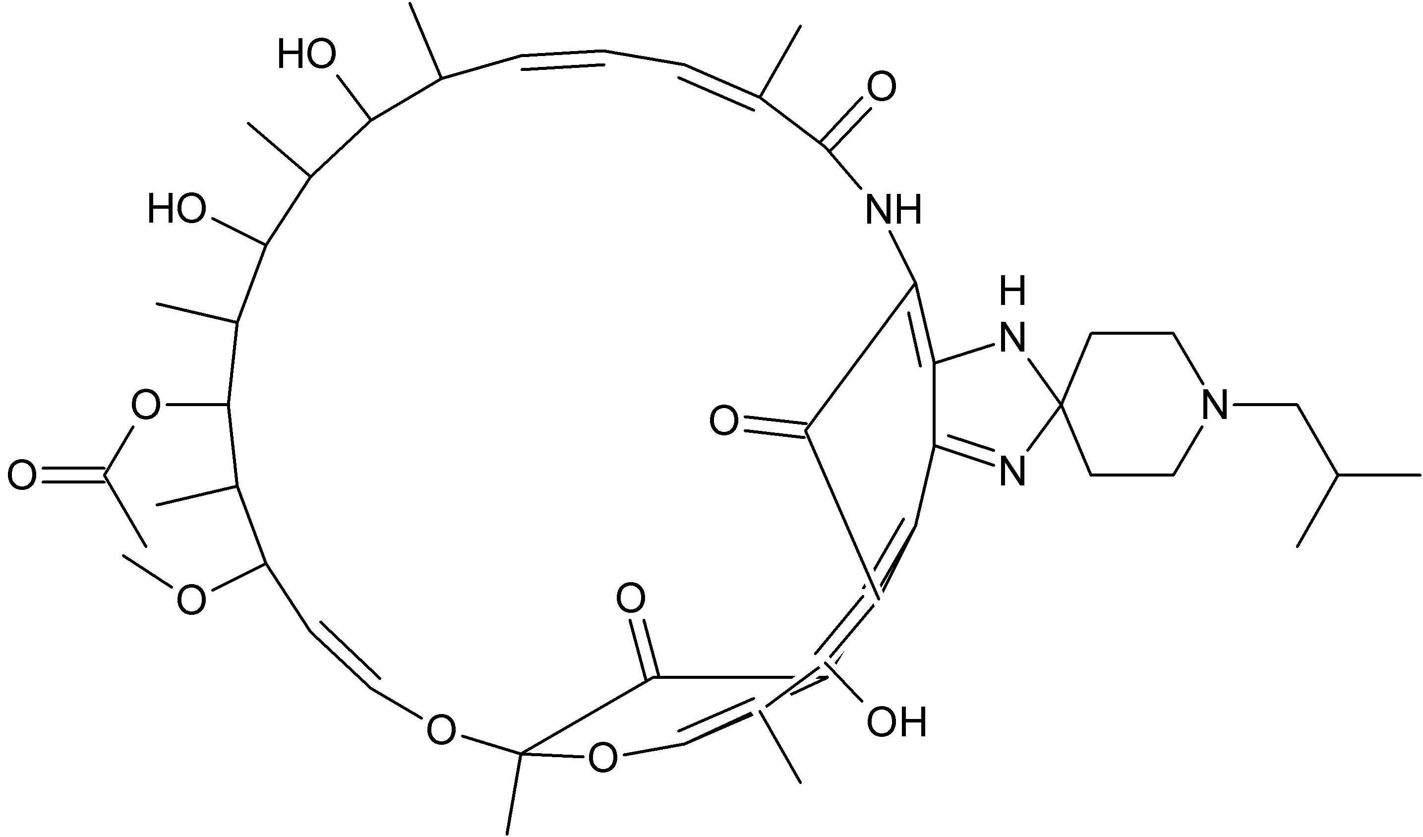
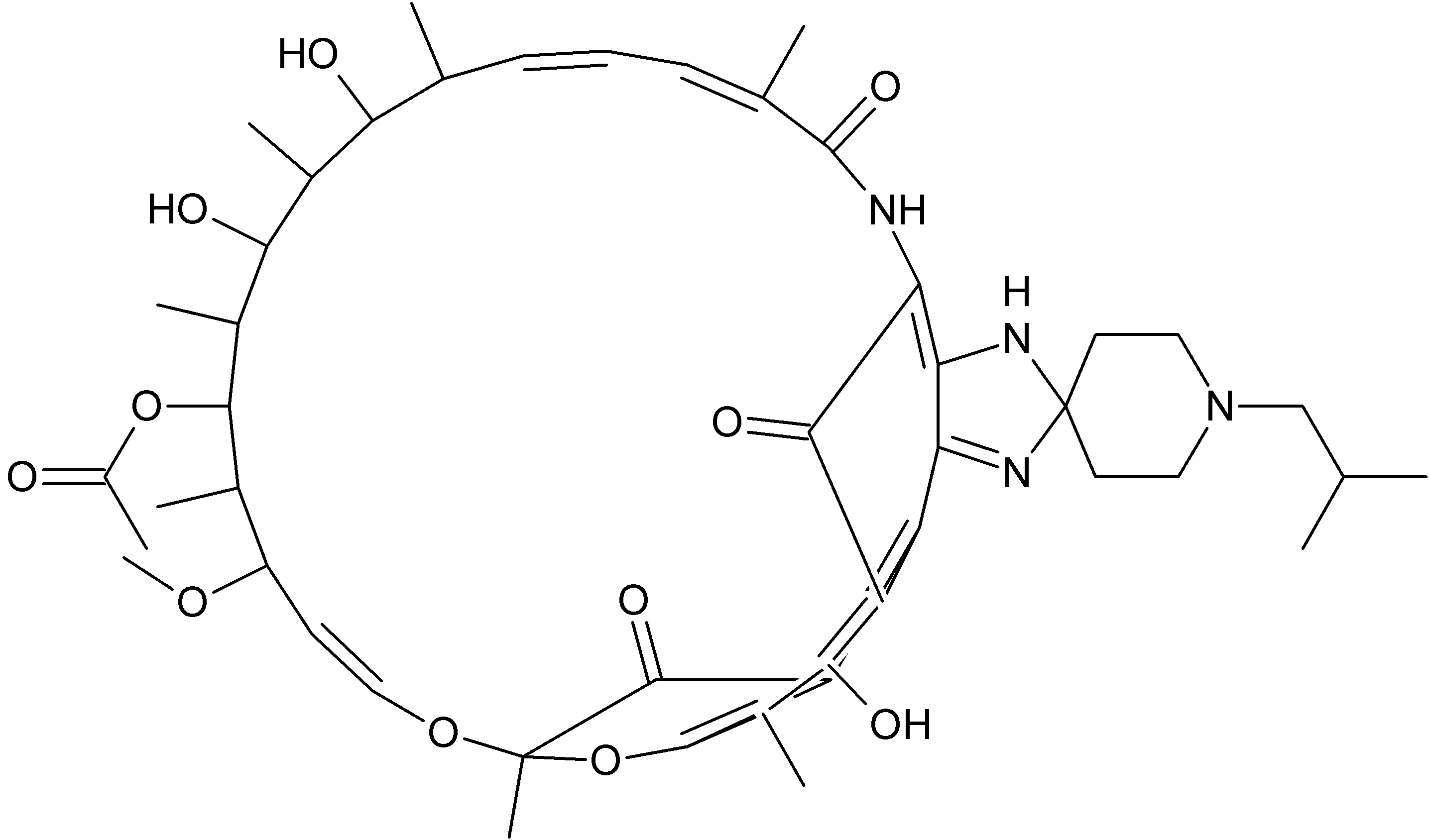
Rifabutin
Chemical structure
Stability of pharmaceutical preparations : Rifabutin
200 mg
Mycobutin®
Cherry syrup
>>10ml
25°C
84
2419
200 mg
Mycobutin®
OraPlus® / OraSweet® (1:1)
>>10ml
25°C
84
2419
200 mg
Mycobutin®
Cherry syrup
>>10ml
30-40°C
56
2419
200 mg
Mycobutin®
OraPlus® / OraSweet® (1:1)
>>10ml
30-40°C
84
2419
200 mg
Mycobutin®
Cherry syrup
>>10ml
4°C
84
2419
200 mg
Mycobutin®
OraPlus® / OraSweet® (1:1)
>>10ml
4°C
84
2419
Mentions Légales