Posledná aktualizácia :
27/01/2026
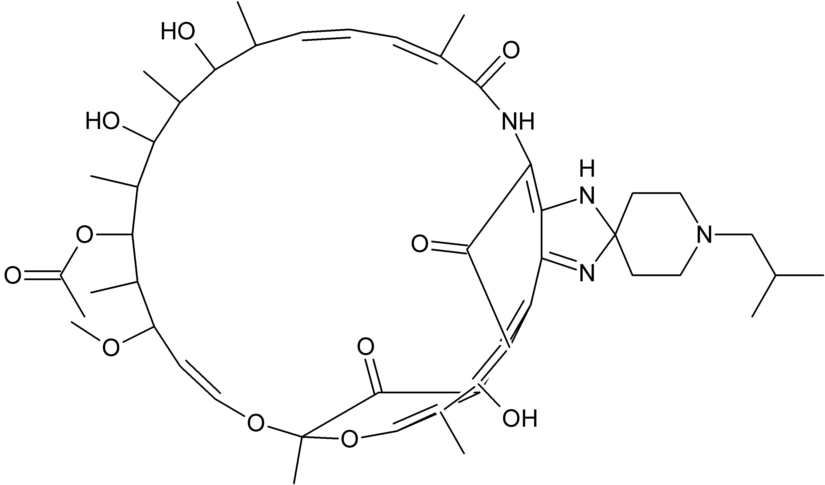
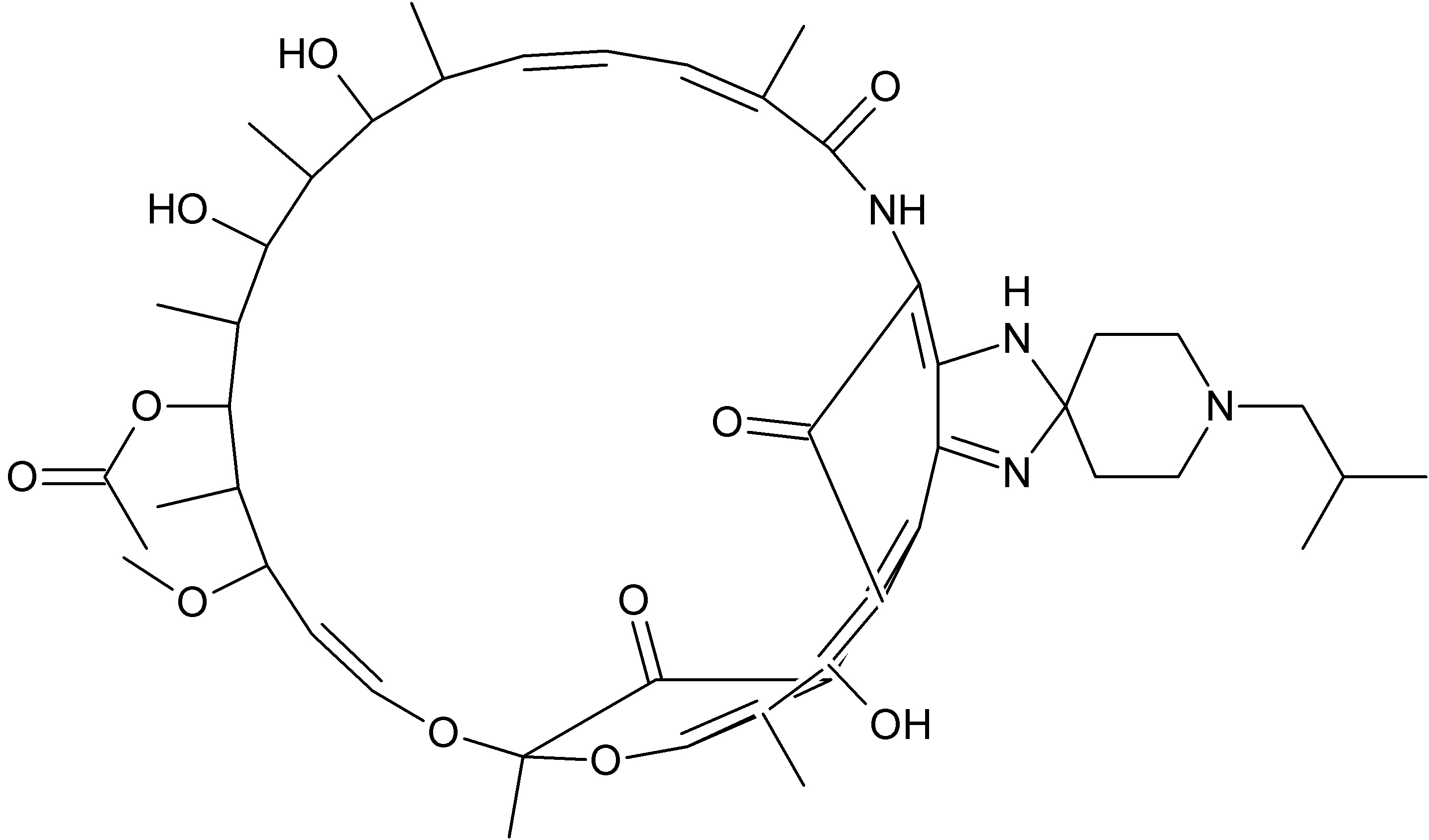
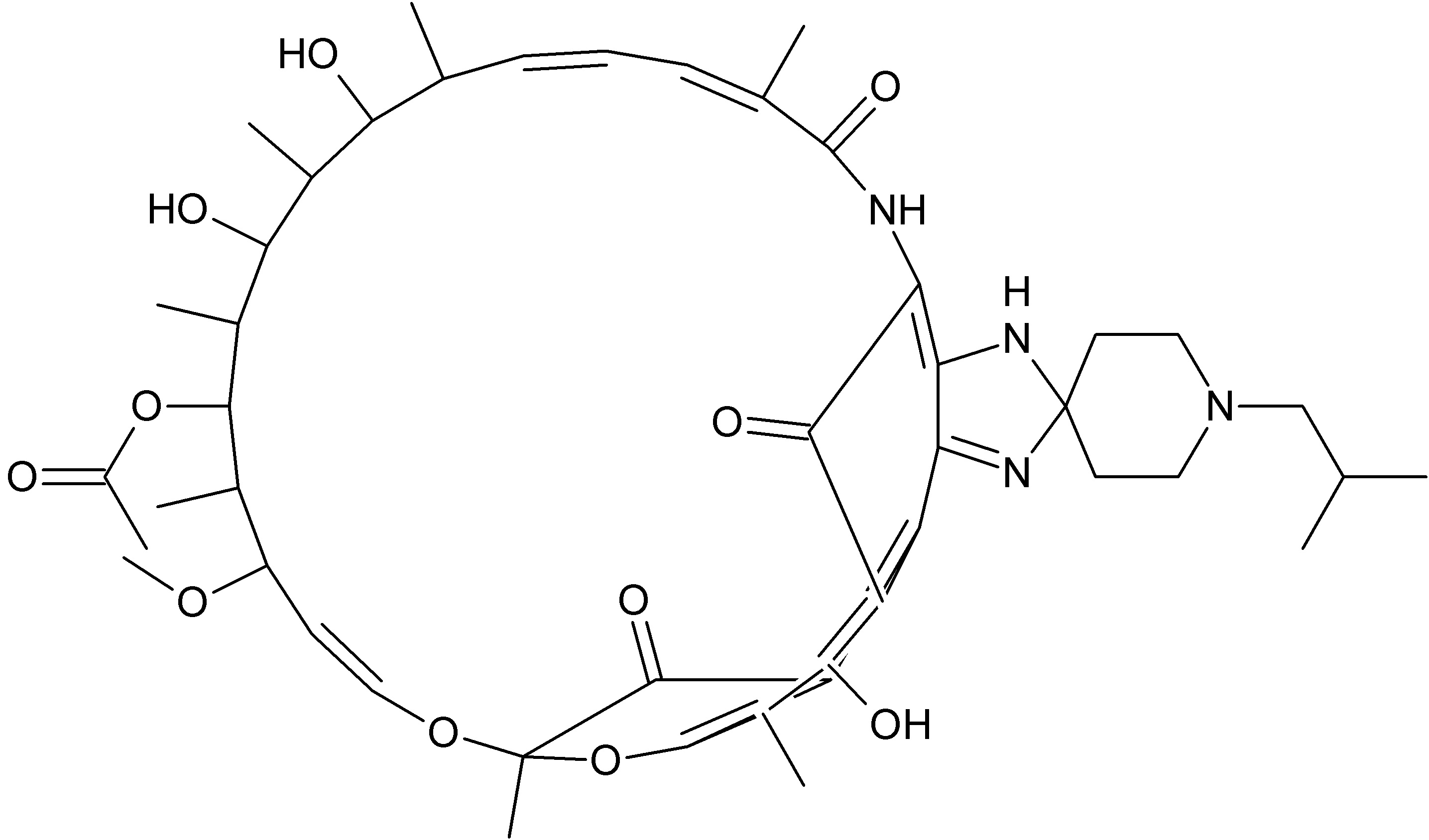
antibiotikum   Rifabutin  
Perorálny roztok
Stabilita farmaceutických prípravkov Stabilita v zmesiach Faktory ovplyvňujúce stabilitu Kompatibility Odkazy na literatúru PDF
   Chemický vzorec  

Perorálny roztok
Stabilita farmaceutických prípravkov   Perorálny roztok   Stabilita farmaceutických prípravkov : Rifabutin     
obal Pôvod Pomocná látka teplota uchovávanie Trvanie stability odkazy na lieteratúru
Plastová fľaša Kapsuly 200 mg
Mycobutin®
Čerešňový sirup >>10ml
25°C nešpecifikované
84 dní
2419

Plastová fľaša Kapsuly 200 mg
Mycobutin®
OraPlus® / OraSweet® (1:1) >>10ml
25°C nešpecifikované
84 dní
2419

Plastová fľaša Kapsuly 200 mg
Mycobutin®
Čerešňový sirup >>10ml
30-40°C nešpecifikované
56 dní
2419

Plastová fľaša Kapsuly 200 mg
Mycobutin®
OraPlus® / OraSweet® (1:1) >>10ml
30-40°C nešpecifikované
84 dní
2419

Plastová fľaša Kapsuly 200 mg
Mycobutin®
Čerešňový sirup >>10ml
4°C nešpecifikované
84 dní
2419

Plastová fľaša Kapsuly 200 mg
Mycobutin®
OraPlus® / OraSweet® (1:1) >>10ml
4°C nešpecifikované
84 dní
2419


  Mentions Légales