Ultimele actualizari :
27/01/2026
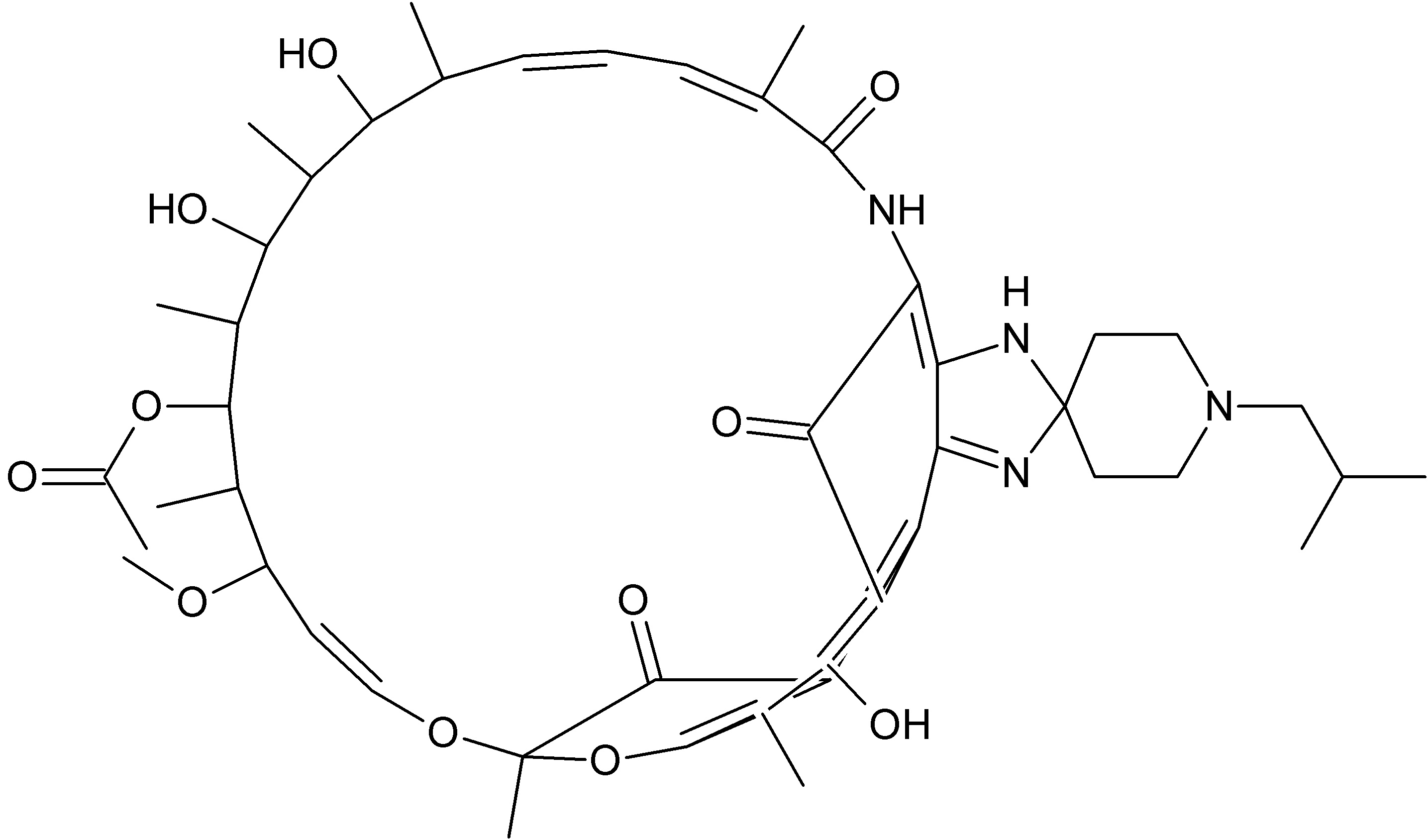
Antibiotic   Rifabutin  
Soluţie orală
Stabilitatea preparatelor farmaceutice Stabilitatea in amestec Factorii care influenteaza stabilitatea Compatibilitate Bibliografie pdf
   Formula chimica  

Soluţie orală
Stabilitatea preparatelor farmaceutice   Soluţie orală   Stabilitatea preparatelor farmaceutice : Rifabutin     
Continut Origine Excipient Temperatura Conservare Durata stabilității Bibiografie
Sticla din plastic capsule 200 mg
Mycobutin®
Sirop de cireşe >>10ml
25°C Neprecizat
84 Ziua
2419

Sticla din plastic capsule 200 mg
Mycobutin®
OraPlus® / OraSweet® (1:1) >>10ml
25°C Neprecizat
84 Ziua
2419

Sticla din plastic capsule 200 mg
Mycobutin®
Sirop de cireşe >>10ml
30-40°C Neprecizat
56 Ziua
2419

Sticla din plastic capsule 200 mg
Mycobutin®
OraPlus® / OraSweet® (1:1) >>10ml
30-40°C Neprecizat
84 Ziua
2419

Sticla din plastic capsule 200 mg
Mycobutin®
Sirop de cireşe >>10ml
4°C Neprecizat
84 Ziua
2419

Sticla din plastic capsule 200 mg
Mycobutin®
OraPlus® / OraSweet® (1:1) >>10ml
4°C Neprecizat
84 Ziua
2419


  Mentions Légales