Poslední aktualizace :
27/01/2026
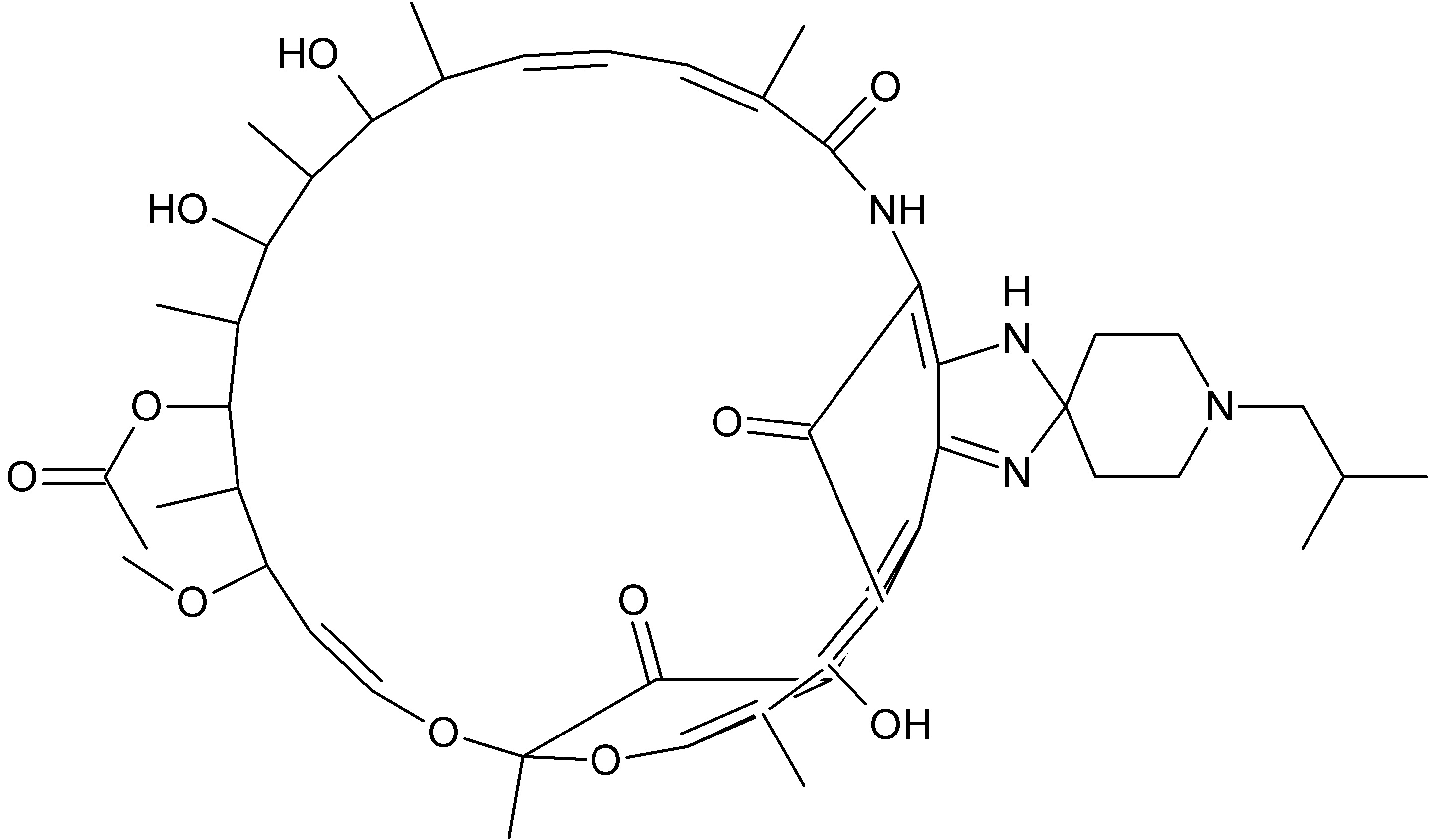
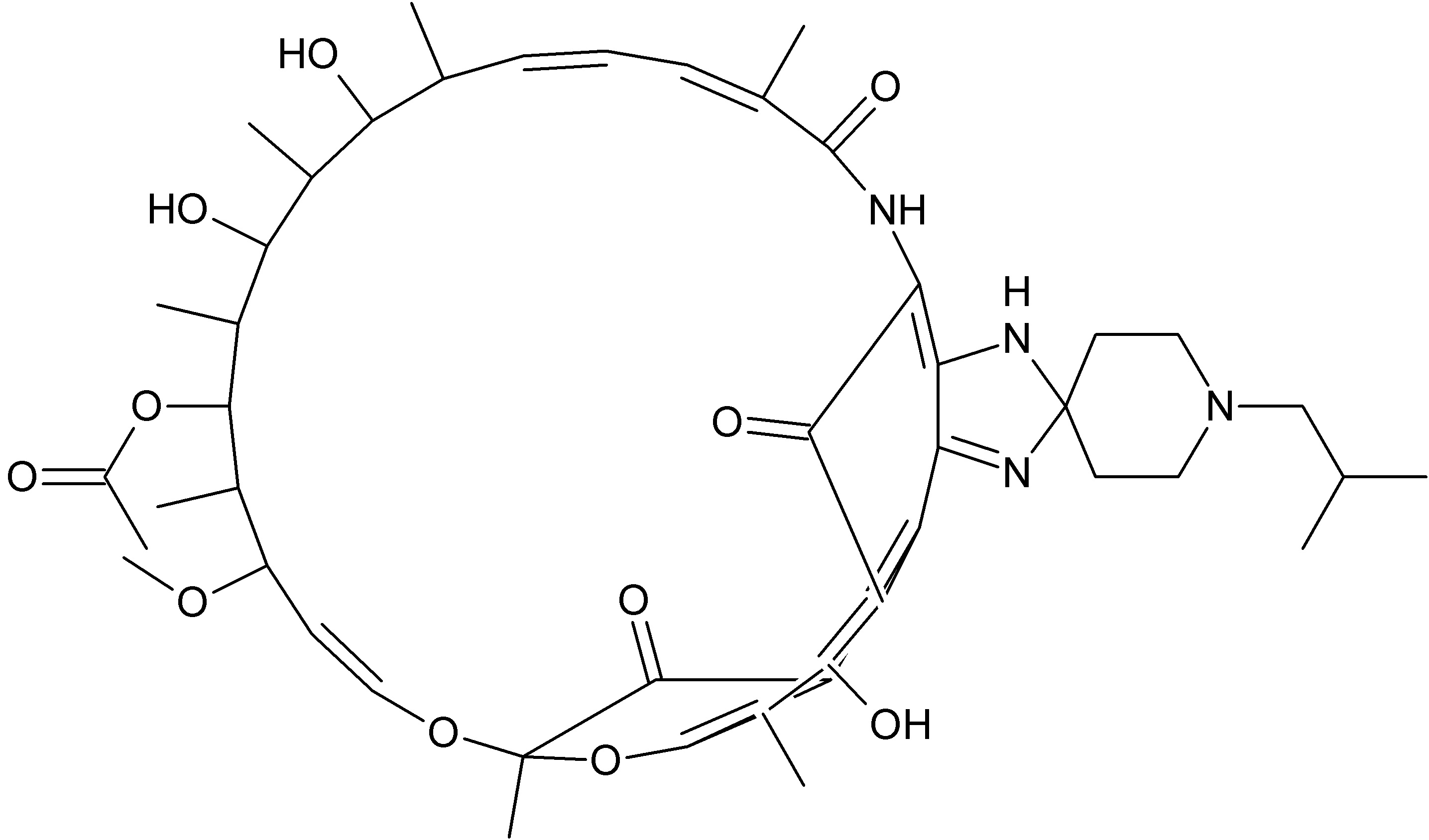
Antibiotikum   Rifabutin  
Perorální roztok
Stabilita farmaceutických přípravků Stabilita směsí Faktory ovlivňující stabilitu Kompatibilita Odkazy pdf
   Chemický vzorec  

Perorální roztok
Stabilita farmaceutických přípravků   Perorální roztok   Stabilita farmaceutických přípravků : Rifabutin     
Obal Origine Pomocné látky Teplota Uchovávání Trvání stability Odkazy
plastová láhev kapsle 200 mg
Mycobutin®
třešeň sirup >>10ml
25°C Nespecifikováno
84 Den
2419

plastová láhev kapsle 200 mg
Mycobutin®
OraPlus® / OraSweet® (1:1) >>10ml
25°C Nespecifikováno
84 Den
2419

plastová láhev kapsle 200 mg
Mycobutin®
třešeň sirup >>10ml
30-40°C Nespecifikováno
56 Den
2419

plastová láhev kapsle 200 mg
Mycobutin®
OraPlus® / OraSweet® (1:1) >>10ml
30-40°C Nespecifikováno
84 Den
2419

plastová láhev kapsle 200 mg
Mycobutin®
třešeň sirup >>10ml
4°C Nespecifikováno
84 Den
2419

plastová láhev kapsle 200 mg
Mycobutin®
OraPlus® / OraSweet® (1:1) >>10ml
4°C Nespecifikováno
84 Den
2419


  Mentions Légales