Ultimo aggiornamento :
18/03/2026
Antibiotico   Rifabutin  
Soluzione orale
Stabilità dei preparati farmaceutici Stabilità in miscela Fattori che influenzano la stabilità Compatibilità Bibliografia pdf
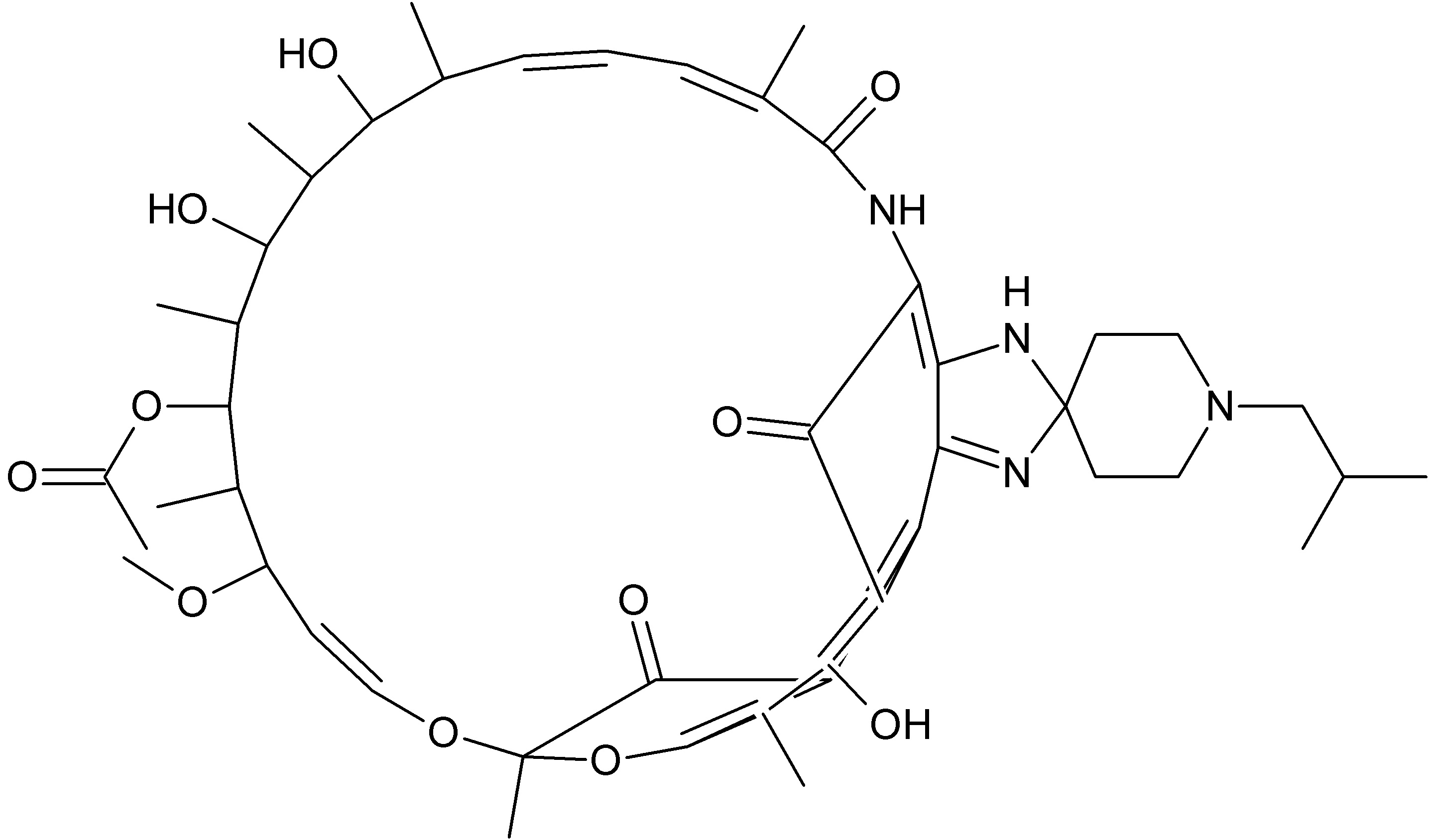
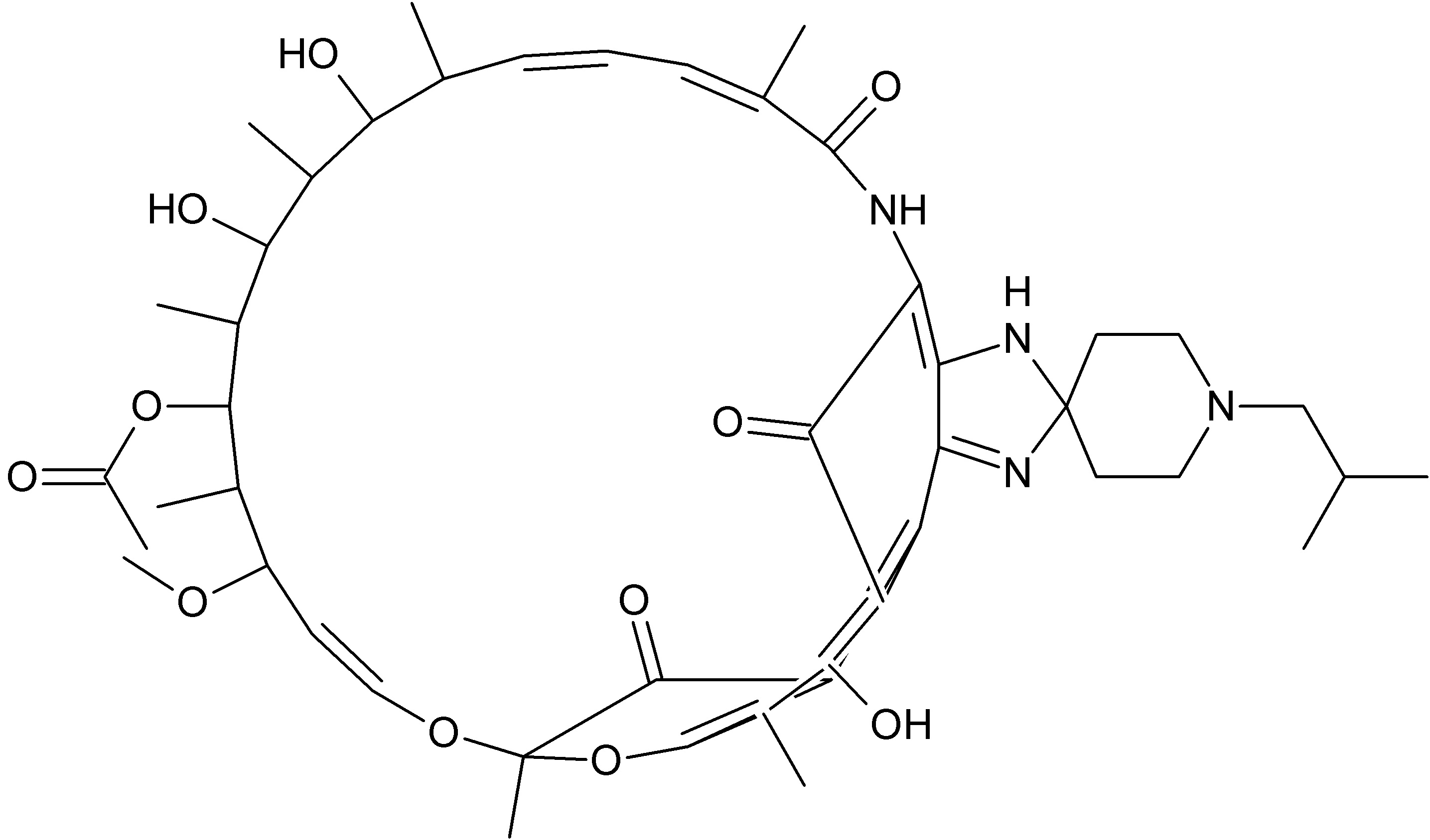
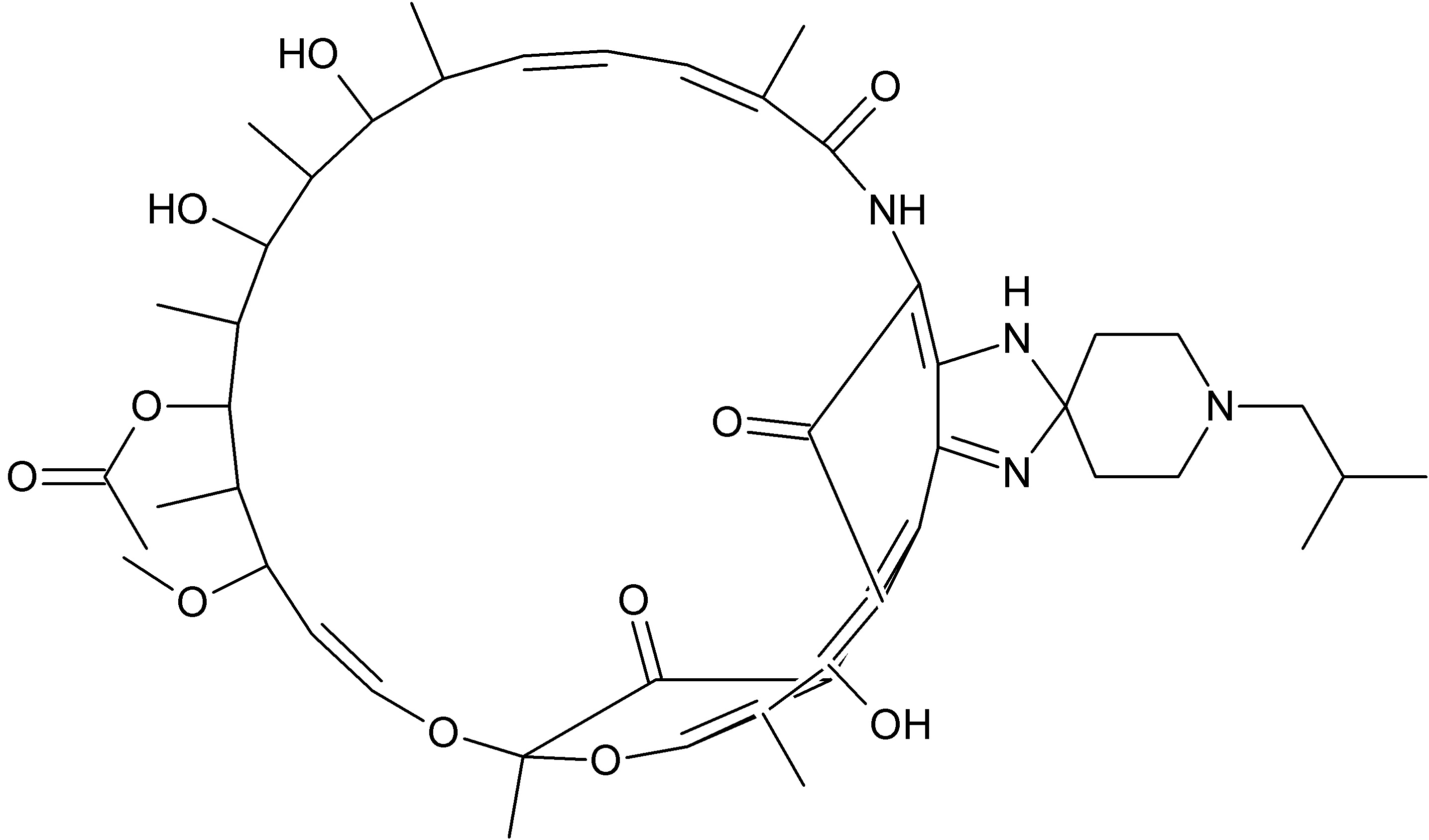
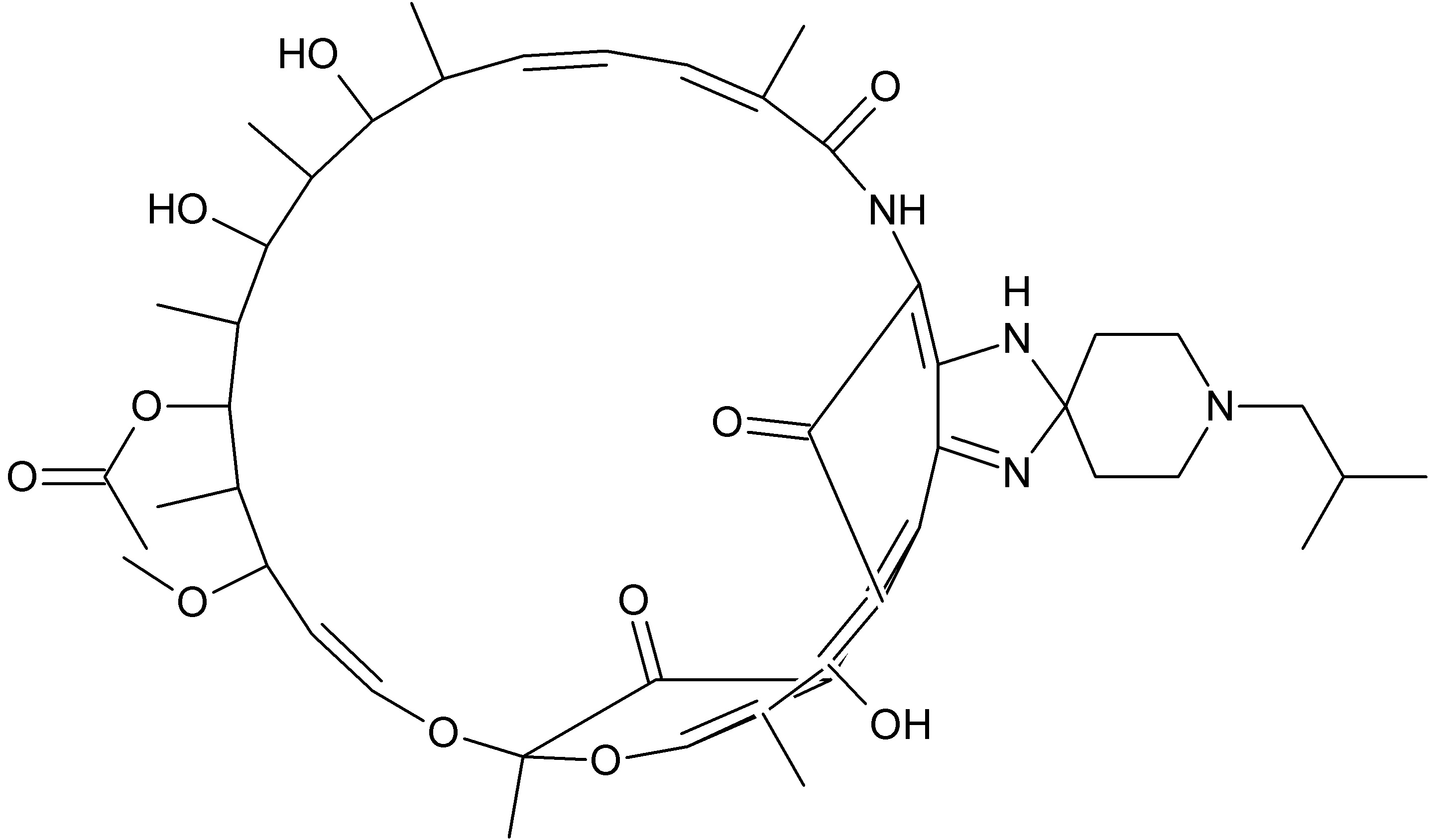
   Struttura chimica  

Soluzione orale
Stabilità dei preparati farmaceutici   Soluzione orale   Stabilità dei preparati farmaceutici : Rifabutin     
contenitore Origine eccipiente Temperatura Conservazione Durata della stabilità Bibliografia
bottiglia di plastica capsula 200 mg
Mycobutin®
sciroppo di ciliegia >>10ml
25°C Non precisata
84 Giorno
2419

bottiglia di plastica capsula 200 mg
Mycobutin®
OraPlus® / OraSweet® (1:1) >>10ml
25°C Non precisata
84 Giorno
2419

bottiglia di plastica capsula 200 mg
Mycobutin®
sciroppo di ciliegia >>10ml
30-40°C Non precisata
56 Giorno
2419

bottiglia di plastica capsula 200 mg
Mycobutin®
OraPlus® / OraSweet® (1:1) >>10ml
30-40°C Non precisata
84 Giorno
2419

bottiglia di plastica capsula 200 mg
Mycobutin®
sciroppo di ciliegia >>10ml
4°C Non precisata
84 Giorno
2419

bottiglia di plastica capsula 200 mg
Mycobutin®
OraPlus® / OraSweet® (1:1) >>10ml
4°C Non precisata
84 Giorno
2419


  Mentions Légales