zadnja posodobitev :
27/01/2026
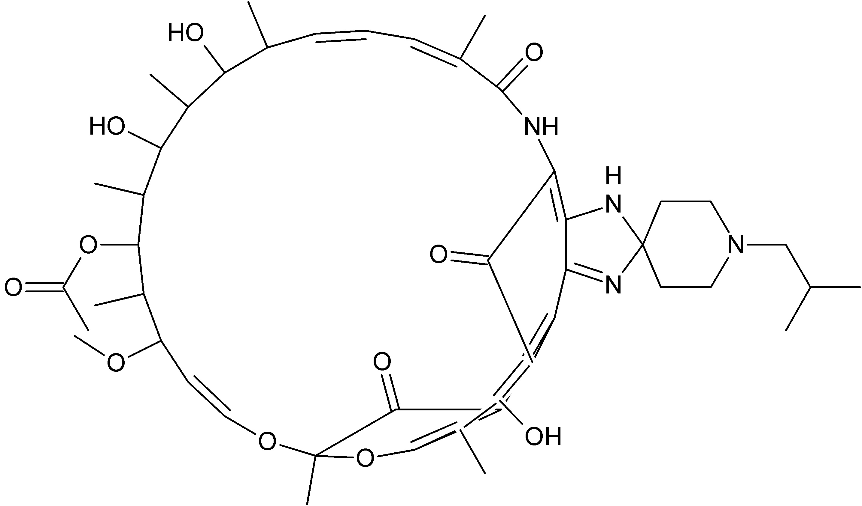
Antibiotik   Rifabutin  
Peroralna raztopina
Stabilnost farmacevtskih preparatov Stabilnost mešanice Faktorji, ki vplivajo na stabilnost Kompatibilnost Viri pdf
   Kemična formula  

Peroralna raztopina
Stabilnost farmacevtskih preparatov   Peroralna raztopina   Stabilnost farmacevtskih preparatov : Rifabutin     
Vsebnik Origine Ekscipient Temperatura Shranjevanje Trajanje stabilnosti Viri
Plastenka Kapsule 200 mg
Mycobutin®
Sirup češnje >>10ml
25°C Nedoločeno
84 Dan
2419

Plastenka Kapsule 200 mg
Mycobutin®
OraPlus® / OraSweet® (1:1) >>10ml
25°C Nedoločeno
84 Dan
2419

Plastenka Kapsule 200 mg
Mycobutin®
Sirup češnje >>10ml
30-40°C Nedoločeno
56 Dan
2419

Plastenka Kapsule 200 mg
Mycobutin®
OraPlus® / OraSweet® (1:1) >>10ml
30-40°C Nedoločeno
84 Dan
2419

Plastenka Kapsule 200 mg
Mycobutin®
Sirup češnje >>10ml
4°C Nedoločeno
84 Dan
2419

Plastenka Kapsule 200 mg
Mycobutin®
OraPlus® / OraSweet® (1:1) >>10ml
4°C Nedoločeno
84 Dan
2419


  Mentions Légales