Seneste opdatering :
27/01/2026
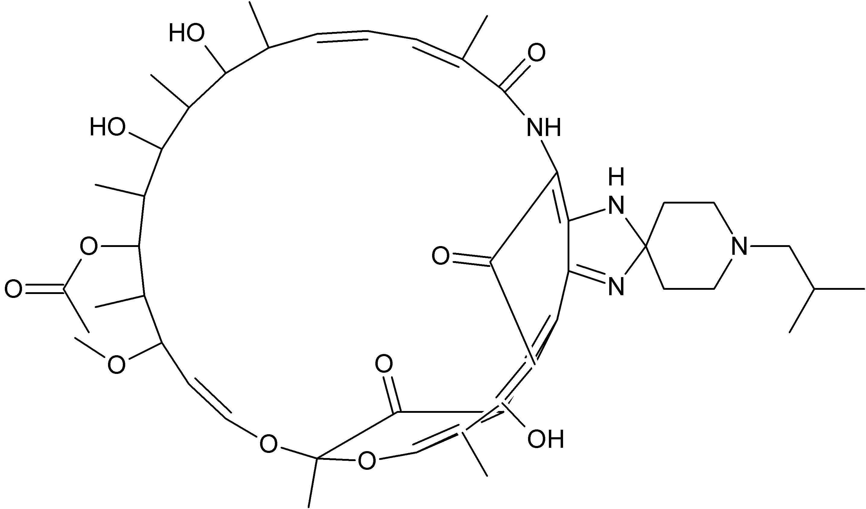
Antibiotisk   Rifabutin  
Oral opløsning
Stabilitet af farmaceutiske tilberedninger Stabilitet i blandinger Faktorer der påvirker stabiliteten Kompatibilitet Bibliografi pdf
   Kemisk struktur  

Oral opløsning
Stabilitet af farmaceutiske tilberedninger   Oral opløsning   Stabilitet af farmaceutiske tilberedninger : Rifabutin     
Beholder Origine Hjælpestof Temperatur Konservering Varighed af stabilitet Bibliografi
Plastflaske Kapsel 200 mg
Mycobutin®
Kirsebærsirup >>10ml
25°C Ikke nærmere angivet
84 Dag
2419

Plastflaske Kapsel 200 mg
Mycobutin®
OraPlus® / OraSweet® (1:1) >>10ml
25°C Ikke nærmere angivet
84 Dag
2419

Plastflaske Kapsel 200 mg
Mycobutin®
Kirsebærsirup >>10ml
30-40°C Ikke nærmere angivet
56 Dag
2419

Plastflaske Kapsel 200 mg
Mycobutin®
OraPlus® / OraSweet® (1:1) >>10ml
30-40°C Ikke nærmere angivet
84 Dag
2419

Plastflaske Kapsel 200 mg
Mycobutin®
Kirsebærsirup >>10ml
4°C Ikke nærmere angivet
84 Dag
2419

Plastflaske Kapsel 200 mg
Mycobutin®
OraPlus® / OraSweet® (1:1) >>10ml
4°C Ikke nærmere angivet
84 Dag
2419


  Mentions Légales