Τελευταία ενημέρωση :
27/01/2026
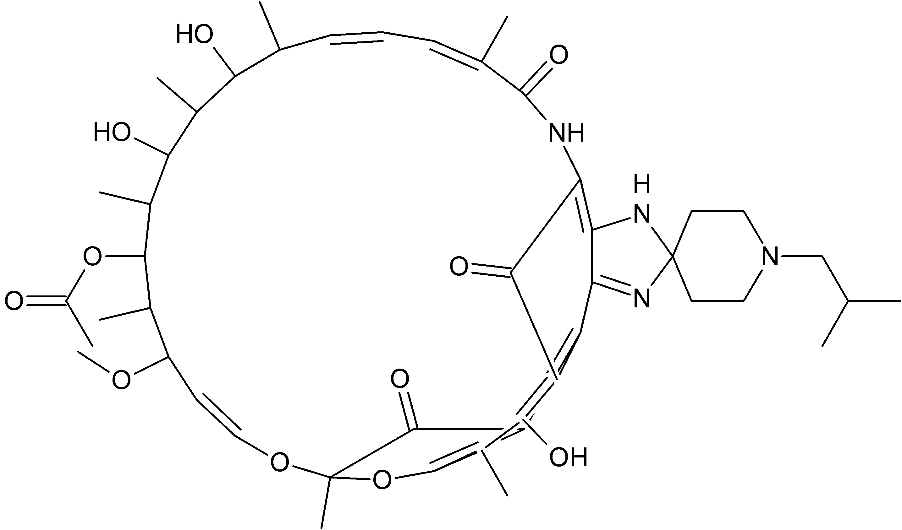
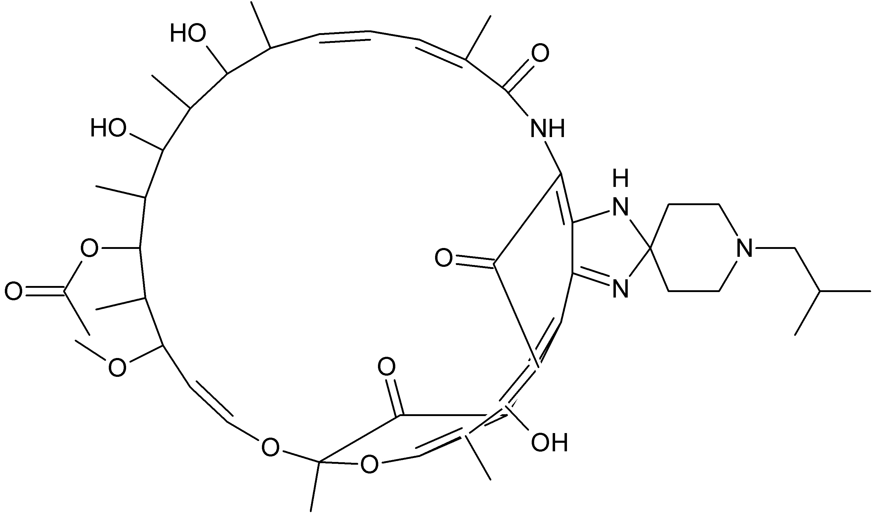
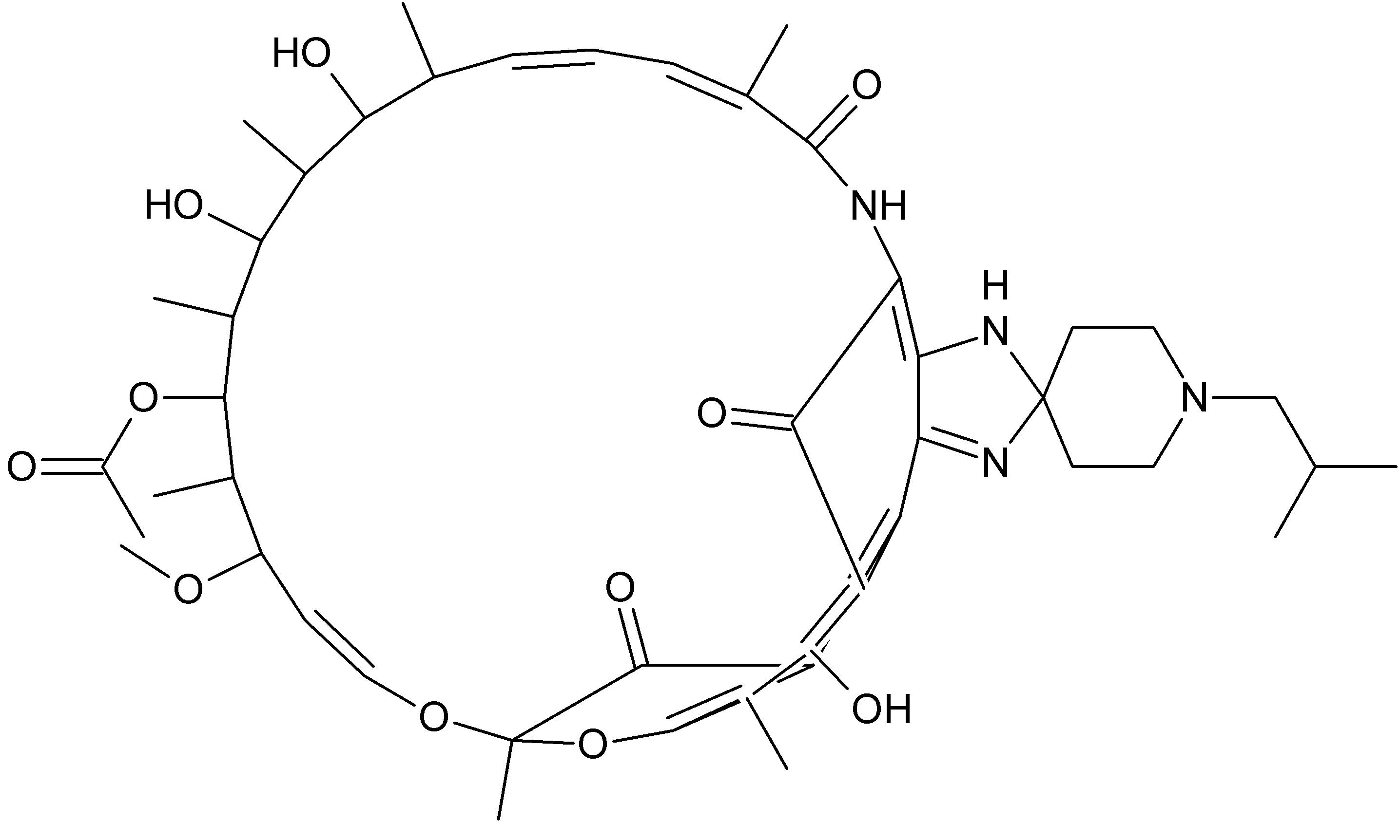
Αντιβιοτικό   Rifabutin  
Πόσιμο διάλυμα
Σταθερότητα και συμβατότητα των φαρμάκων Σταθερότητα σε μίγματα Παράγοντας που επηρεάζει τη σταθερότητα Συμβατότητες Βιβλιογραφία pdf
   χημική δομή  

Πόσιμο διάλυμα
Σταθερότητα και συμβατότητα των φαρμάκων   Πόσιμο διάλυμα   Σταθερότητα και συμβατότητα των φαρμάκων : Rifabutin     
Υποδοχέας Origine Έκδοχο Θερμοκρασία Αποθήκευση Διάρκεια σταθερότητας Βιβλιογραφία
Πλαστικό μπουκάλι Κάψουλα 200 mg
Mycobutin®
Κεράσι σιρόπι >>10ml
25°C Απροσδιόριστο
84 Ημέρα
2419

Πλαστικό μπουκάλι Κάψουλα 200 mg
Mycobutin®
OraPlus® / OraSweet® (1:1) >>10ml
25°C Απροσδιόριστο
84 Ημέρα
2419

Πλαστικό μπουκάλι Κάψουλα 200 mg
Mycobutin®
Κεράσι σιρόπι >>10ml
30-40°C Απροσδιόριστο
56 Ημέρα
2419

Πλαστικό μπουκάλι Κάψουλα 200 mg
Mycobutin®
OraPlus® / OraSweet® (1:1) >>10ml
30-40°C Απροσδιόριστο
84 Ημέρα
2419

Πλαστικό μπουκάλι Κάψουλα 200 mg
Mycobutin®
Κεράσι σιρόπι >>10ml
4°C Απροσδιόριστο
84 Ημέρα
2419

Πλαστικό μπουκάλι Κάψουλα 200 mg
Mycobutin®
OraPlus® / OraSweet® (1:1) >>10ml
4°C Απροσδιόριστο
84 Ημέρα
2419


  Mentions Légales