Laatste update :
27/01/2026
Antibioticum   Rifabutin  
Orale Oplossing
Stabiliteit van farmaceutische preparaten Stabiliteit in mengsels Factoren die de stabiliteit beïnvloeden Verenigbaarheden Literatuur pdf
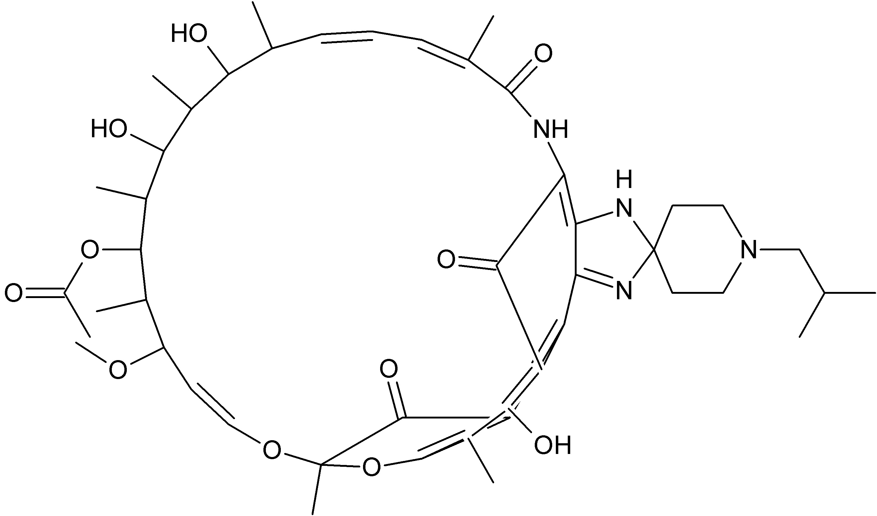
   Molecuulstructuur  

Orale Oplossing
Stabiliteit van farmaceutische preparaten   Orale Oplossing   Stabiliteit van farmaceutische preparaten : Rifabutin     
Verpakking Origine  ikˈsipēənt hulpstof Temperatuur Bewaring Duur van de stabiliteit Literatuur
plastic fles capsules 200 mg
Mycobutin®
kersensiroop >>10ml
25°C Niet gespecificeerd
84 Dag
2419

plastic fles capsules 200 mg
Mycobutin®
OraPlus® / OraSweet® (1:1) >>10ml
25°C Niet gespecificeerd
84 Dag
2419

plastic fles capsules 200 mg
Mycobutin®
kersensiroop >>10ml
30-40°C Niet gespecificeerd
56 Dag
2419

plastic fles capsules 200 mg
Mycobutin®
OraPlus® / OraSweet® (1:1) >>10ml
30-40°C Niet gespecificeerd
84 Dag
2419

plastic fles capsules 200 mg
Mycobutin®
kersensiroop >>10ml
4°C Niet gespecificeerd
84 Dag
2419

plastic fles capsules 200 mg
Mycobutin®
OraPlus® / OraSweet® (1:1) >>10ml
4°C Niet gespecificeerd
84 Dag
2419


  Mentions Légales