Останнє оновлення :
18/03/2026
Протипухлинний препарат   Dacarbazine  
ін'єкція
Стійкість в розчинах Стійкість сумішей Фактори, що впливають на стабільність Сумісність Шлях введення Список літератури pdf
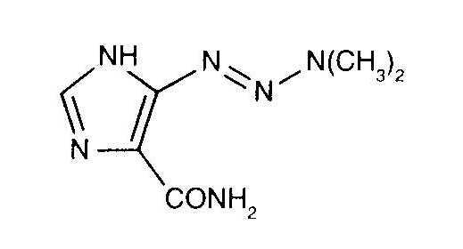
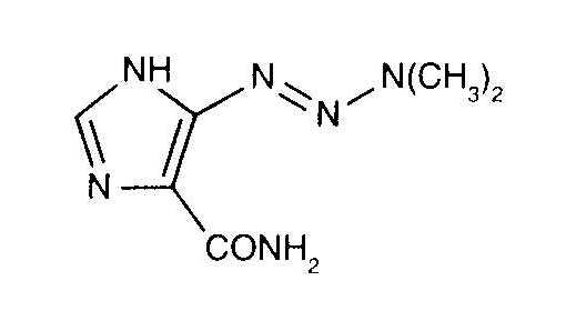
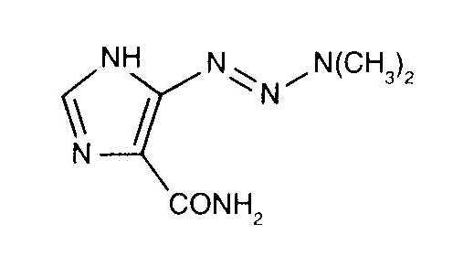
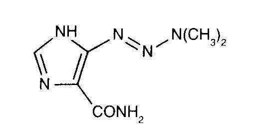
   Хімічна структура  

Торгова назва   Торгова назва     

Торгові назви є орієнтовними, а склад допоміжних речовин може бути різним залежно від країни та виробника

Acocarb Мексика
Celdaz Індія, Перу
Dabaz Індія, Бразилія
Dacarba Індія
Dacarbazin Австрія, Малайзія, Польща, Угорщина
Dacarbazina Іспанія, Італія, Аргентина, Бразилія, Еквадор, Колумбія, Мексика, Перу, Чилі
Dacarbazine Індія, Іран, Ірландія, Австралія, Бельгія, Великобританія, Данія, Канада, Нова Зеландія, Сполучені Штати Америки, Швеція
Dacarex Індія
Dacarin Індія
Dacarpalm Перу
Dacarzine Індія
Dacin Словенія, Швейцарія
Dacmed Індія
Daracina Колумбія
Deticene Греція, Нідерланди, Португалія, Саудівська Аравія, Франція
Detimedac Колумбія, Німеччина, Румунія, Туніс
DTIC Австрія, Нова Зеландія, Сполучені Штати Америки
Fauldetic Португалія
Oncocarbil Аргентина, Еквадор, Перу
Tiferomed Мексика
Стійкість в розчинах   ін'єкція   Стійкість в розчинах : Dacarbazine     
Контейнер Розчинник Концентрація температура Зберігання Тривалість стабільності Список літератури
скло Вода для ін'єкцій 10 mg/ml 25°C Берегти від світла
15 годину
3266
Дані виробника про стабільність

скло Вода для ін'єкцій 10 mg/ml 6-8°C Берегти від світла
14 День
3266
Дані виробника про стабільність

скло Вода для ін'єкцій 11 mg/ml 2-6°C Берегти від світла
7 День
1635
Рівень доказовості B

скло Вода для ін'єкцій 11 mg/ml 20-25°C Берегти від світла
96 годину
1635
Рівень доказовості B

скло Натрію хлорид 0,9% 0,64 mg/ml 23°C Берегти від світла
48 годину
1501
Рівень доказовості А

скло Натрію хлорид 0,9% 0,64 mg/ml 4°C Берегти від світла
48 годину
1501
Рівень доказовості А

Полівініл хлорид Натрію хлорид 0,9% 0,64 mg/ml 23°C Берегти від світла
48 годину
1501
Рівень доказовості А

Полівініл хлорид Натрію хлорид 0,9% 0,64 mg/ml 4°C Берегти від світла
48 годину
1501
Рівень доказовості А

Полівініл хлорид Натрію хлорид 0,9% 1,6 mg/ml 4°C Берегти від світла
30 День
40
Рівень доказовості D

Полівініл хлорид Глюкоза 5% 1,4 mg/ml 2-6°C Берегти від світла
168 годину
1635
Рівень доказовості B

Полівініл хлорид Глюкоза 5% 1,4 mg/ml 20°C-25°C Берегти від світла
72 годину
1635
Рівень доказовості B

Полівініл хлорид Глюкоза 5% 1,6 mg/ml 4°C Берегти від світла
30 День
40
Рівень доказовості D

Поліетилен Натрію хлорид 0,9% 0,64 mg/ml 23°C Берегти від світла
48 годину
1501
Рівень доказовості А

Поліетилен Натрію хлорид 0,9% 0,64 mg/ml 4°C Берегти від світла
48 годину
1501
Рівень доказовості А

Не визначено Натрію хлорид 0,9% mg/ml 25°C Берегти від світла
9 годину
3266
Дані виробника про стабільність

Не визначено Натрію хлорид 0,9% mg/ml 6-8°C Берегти від світла
6 День
3266
Дані виробника про стабільність

Не визначено Глюкоза 5% mg/ml 25°C Берегти від світла
9 годину
3266
Дані виробника про стабільність

Не визначено Глюкоза 5% mg/ml 6-8°C Берегти від світла
6 День
3266
Дані виробника про стабільність


  Mentions Légales