Ultimo aggiornamento :
12/12/2025
farmaco contro il cancro   Dacarbazine  
Iniezione
Stabilità in soluzione Stabilità in miscela Fattori che influenzano la stabilità Compatibilità metodo di iniezione Bibliografia pdf
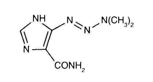
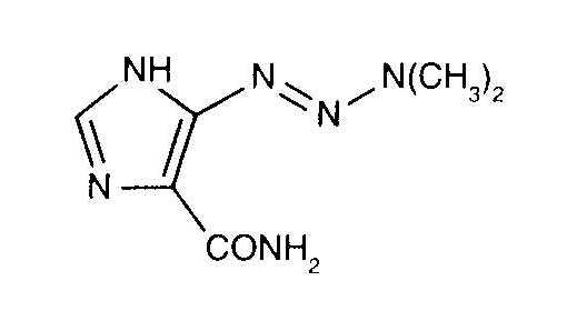
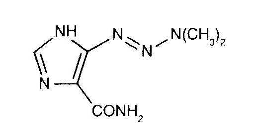
   Struttura chimica  

Nome commerciale   Nome commerciale     

Trade names are indicative and excipients composition can be different depending on the country and manufacturers

Acocarb Messico
Celdaz India, Perù
Dabaz Brasile, India
Dacarba India
Dacarbazin Austria, Malaysia, Polonia, Ungheria
Dacarbazina Argentina, Brasile, Chile, Colombia, Ecuador, Italia, Messico, Perù, Spagna
Dacarbazine Australia, Belgio, Canada, Danimarca, Gran Bretagna, India, Iran, Irlanda, nuova Zelanda, Stati Uniti d’America, Svezia
Dacarex India
Dacarin India
Dacarpalm Perù
Dacarzine India
Dacin Slovenia, Svizzera
Dacmed India
Daracina Colombia
Deticene Arabia Saudita, Francia, Grecia, Paesi Bassi, Portogallo
Detimedac Colombia, Germania, Romania, Tunisia
DTIC Austria, nuova Zelanda, Stati Uniti d’America
Fauldetic Portogallo
Oncocarbil Argentina, Ecuador, Perù
Tiferomed Messico
Stabilità in soluzione   Iniezione   Stabilità in soluzione : Dacarbazine     
contenitore Solvente Concentrazione Temperatura Conservazione Durata della stabilità Bibliografia
Vetro Acqua per preparato iniettabile 10 mg/ml 25°C Al riparo dalla luce
15 Ora
3266
Dati di stabilità del produttore

Vetro Acqua per preparato iniettabile 10 mg/ml 6-8°C Al riparo dalla luce
14 Giorno
3266
Dati di stabilità del produttore

Vetro Acqua per preparato iniettabile 11 mg/ml 2-6°C Al riparo dalla luce
7 Giorno
1635
Livello di evidenza B

Vetro Acqua per preparato iniettabile 11 mg/ml 20-25°C Al riparo dalla luce
96 Ora
1635
Livello di evidenza B

Vetro Cloruro di sodio 0,9% 0,64 mg/ml 23°C Al riparo dalla luce
48 Ora
1501
Livello di evidenza A

Vetro Cloruro di sodio 0,9% 0,64 mg/ml 4°C Al riparo dalla luce
48 Ora
1501
Livello di evidenza A

Cloruro di polivinile Cloruro di sodio 0,9% 0,64 mg/ml 23°C Al riparo dalla luce
48 Ora
1501
Livello di evidenza A

Cloruro di polivinile Cloruro di sodio 0,9% 0,64 mg/ml 4°C Al riparo dalla luce
48 Ora
1501
Livello di evidenza A

Cloruro di polivinile Cloruro di sodio 0,9% 1,6 mg/ml 4°C Al riparo dalla luce
30 Giorno
40
Livello di evidenza D

Cloruro di polivinile Glucosio 5% 1,4 mg/ml 2-6°C Al riparo dalla luce
168 Ora
1635
Livello di evidenza B

Cloruro di polivinile Glucosio 5% 1,4 mg/ml 20°C-25°C Al riparo dalla luce
72 Ora
1635
Livello di evidenza B

Cloruro di polivinile Glucosio 5% 1,6 mg/ml 4°C Al riparo dalla luce
30 Giorno
40
Livello di evidenza D

Polietilene Cloruro di sodio 0,9% 0,64 mg/ml 23°C Al riparo dalla luce
48 Ora
1501
Livello di evidenza A

Polietilene Cloruro di sodio 0,9% 0,64 mg/ml 4°C Al riparo dalla luce
48 Ora
1501
Livello di evidenza A

Non precisato Cloruro di sodio 0,9% mg/ml 25°C Al riparo dalla luce
9 Ora
3266
Dati di stabilità del produttore

Non precisato Cloruro di sodio 0,9% mg/ml 6-8°C Al riparo dalla luce
6 Giorno
3266
Dati di stabilità del produttore

Non precisato Glucosio 5% mg/ml 25°C Al riparo dalla luce
9 Ora
3266
Dati di stabilità del produttore

Non precisato Glucosio 5% mg/ml 6-8°C Al riparo dalla luce
6 Giorno
3266
Dati di stabilità del produttore


  Mentions Légales