Laatste update :
27/04/2026
geneesmiddel tegen kanker   Dacarbazine  
injecteerbaar geneesmiddel
Stabiliteit in oplossing Stabiliteit in mengsels Factoren die de stabiliteit beïnvloeden Verenigbaarheden Toedieningswijze Literatuur pdf
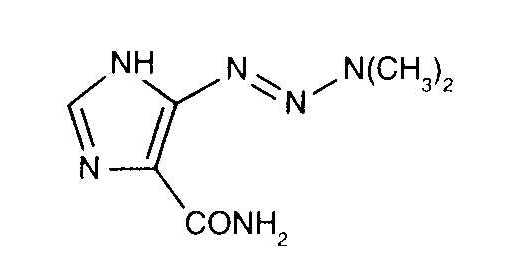
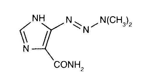
   Molecuulstructuur  

Merknamen in verschillende landen   Merknamen in verschillende landen     

Handelsnamen zijn slechts een indicatie; de samenstelling van hulpstoffen kan per land variëren afhankelijk van de fabrikant

Acocarb Mexico
Celdaz Indië, Peru
Dabaz Brazilië, Indië
Dacarba Indië
Dacarbazin Hongarije, Maleisië, Oostenrijk, Polen
Dacarbazina Argentinië, Brazilië, Chili, Colombia, Ecuador, Italië, Mexico, Peru, Spanje
Dacarbazine Australië, België, Canada, Denemarken, Groot Britannië, Ierland, Indië, Iran, nieuw Zeeland, USA, Zweden
Dacarex Indië
Dacarin Indië
Dacarpalm Peru
Dacarzine Indië
Dacin Slovenië, Zwitserland
Dacmed Indië
Daracina Colombia
Deticene Frankrijk, Griekenland, Nederland, Portugal, Saudi-Arabië
Detimedac Colombia, Duitsland, Roemenië, Tunisie
DTIC nieuw Zeeland, Oostenrijk, USA
Fauldetic Portugal
Oncocarbil Argentinië, Ecuador, Peru
Tiferomed Mexico
Stabiliteit in oplossing   injecteerbaar geneesmiddel   Stabiliteit in oplossing : Dacarbazine     
Verpakking Oplosmiddel Concentratie Temperatuur Bewaring Duur van de stabiliteit Literatuur
Glas Water voor injectie 10 mg/ml 25°C Buiten invloed van licht
15 Uur
3266
Stabiliteitsgegevens van de fabrikant

Glas Water voor injectie 10 mg/ml 6-8°C Buiten invloed van licht
14 Dag
3266
Stabiliteitsgegevens van de fabrikant

Glas Water voor injectie 11 mg/ml 2-6°C Buiten invloed van licht
7 Dag
1635
Bewijsniveau B

Glas Water voor injectie 11 mg/ml 20-25°C Buiten invloed van licht
96 Uur
1635
Bewijsniveau B

Glas Natriumchloride 0,9% 0,64 mg/ml 23°C Buiten invloed van licht
48 Uur
1501
Bewijsniveau A

Glas Natriumchloride 0,9% 0,64 mg/ml 4°C Buiten invloed van licht
48 Uur
1501
Bewijsniveau A

Polyvinylchloride (PVC) Natriumchloride 0,9% 0,64 mg/ml 23°C Buiten invloed van licht
48 Uur
1501
Bewijsniveau A

Polyvinylchloride (PVC) Natriumchloride 0,9% 0,64 mg/ml 4°C Buiten invloed van licht
48 Uur
1501
Bewijsniveau A

Polyvinylchloride (PVC) Natriumchloride 0,9% 1,6 mg/ml 4°C Buiten invloed van licht
30 Dag
40
Bewijsniveau D

Polyvinylchloride (PVC) Glucose 5% 1,4 mg/ml 2-6°C Buiten invloed van licht
168 Uur
1635
Bewijsniveau B

Polyvinylchloride (PVC) Glucose 5% 1,4 mg/ml 20°C-25°C Buiten invloed van licht
72 Uur
1635
Bewijsniveau B

Polyvinylchloride (PVC) Glucose 5% 1,6 mg/ml 4°C Buiten invloed van licht
30 Dag
40
Bewijsniveau D

Polyethyleen (PE) Natriumchloride 0,9% 0,64 mg/ml 23°C Buiten invloed van licht
48 Uur
1501
Bewijsniveau A

Polyethyleen (PE) Natriumchloride 0,9% 0,64 mg/ml 4°C Buiten invloed van licht
48 Uur
1501
Bewijsniveau A

Niet gespecificeerd Natriumchloride 0,9% mg/ml 25°C Buiten invloed van licht
9 Uur
3266
Stabiliteitsgegevens van de fabrikant

Niet gespecificeerd Natriumchloride 0,9% mg/ml 6-8°C Buiten invloed van licht
6 Dag
3266
Stabiliteitsgegevens van de fabrikant

Niet gespecificeerd Glucose 5% mg/ml 25°C Buiten invloed van licht
9 Uur
3266
Stabiliteitsgegevens van de fabrikant

Niet gespecificeerd Glucose 5% mg/ml 6-8°C Buiten invloed van licht
6 Dag
3266
Stabiliteitsgegevens van de fabrikant


  Mentions Légales