Pēdējā atjaunošana :
27/01/2026
Infostab
Saraksti
Kopsavilkums
Meklēt saderības
Y-savienojuma saderības tabula
Literatūras saraksts
pētniecības grupas
valistab
plakāts
Savienojumi
sponsori
Autori
Lietošanas instrukcija
Newsletter
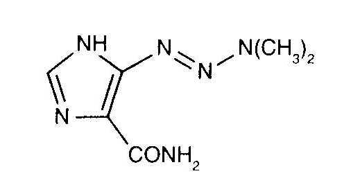
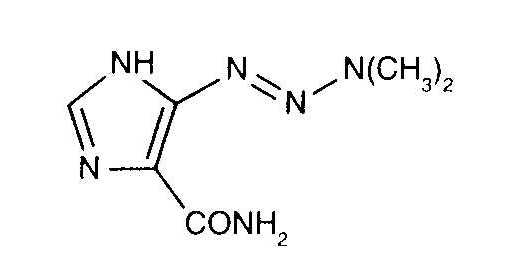
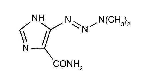
Dacarbazine
Ķīmiskā uzbūve
Oriģinālais nosaukums
Tirdzniecības nosaukumi ir apzīmējoši un palīgvielas var atšķirties dažādām valstīm un laboratorijām
Acocarb
Meksika
Celdaz
Indija, Peru
Dabaz
Brazīlija, Indija
Dacarba
Indija
Dacarbazin
Austrija, Malaizija, Polija, Ungārija
Dacarbazina
Argentīna, Brazīlija, Čīle, Ekvadora, Itālija, Kolumbija, Meksika, Peru, Spānija
Dacarbazine
Amerikas Savienotās Valstis, Austrālija, Beļģija, Dānija, Indija, Irāna, Īrija, Jaunzēlande, Kanāda, Lielbritānija, Zviedrija
Dacarex
Indija
Dacarin
Indija
Dacarpalm
Peru
Dacarzine
Indija
Dacin
Slovēnija, Šveice
Dacmed
Indija
Daracina
Kolumbija
Deticene
Francija, Grieķija, Holande, Portugāle, Saūda Arābija
Detimedac
Kolumbija, Rumānija, Tunisija, Vācija
DTIC
Amerikas Savienotās Valstis, Austrija, Jaunzēlande
Fauldetic
Portugāle
Oncocarbil
Argentīna, Ekvadora, Peru
Tiferomed
Meksika
Šķīduma stabilitāte : Dacarbazine
10 mg/ml
25°C
15
3266
10 mg/ml
6-8°C
14
3266
11 mg/ml
2-6°C
7
1635
11 mg/ml
20-25°C
96
1635
0,64 mg/ml
23°C
48
1501
0,64 mg/ml
4°C
48
1501
0,64 mg/ml
23°C
48
1501
0,64 mg/ml
4°C
48
1501
1,6 mg/ml
4°C
30
40
1,4 mg/ml
2-6°C
168
1635
1,4 mg/ml
20°C-25°C
72
1635
1,6 mg/ml
4°C
30
40
0,64 mg/ml
23°C
48
1501
0,64 mg/ml
4°C
48
1501
mg/ml
25°C
9
3266
mg/ml
6-8°C
6
3266
mg/ml
25°C
9
3266
mg/ml
6-8°C
6
3266
Mentions Légales