Letztes “update” :
27/04/2026
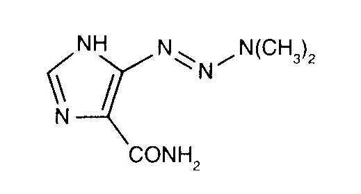
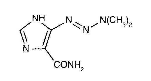
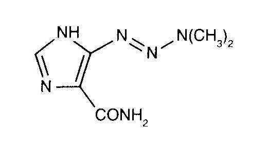
Antikrebsmittel   Dacarbazine  
Injektion
Stabilität der Lösung Gemengestabilität Stabilitätbeeinflussende Faktoren Kompatibilitäten Applikationsart Literaturverzeichnis pdf
   Chemische Struktur  

Handelsmarke   Handelsmarke     

Handelsnamen sind als beispielhaft anzusehen. Sonstige Bestandteile können je nach Hersteller oder Land verschieden sein

Acocarb Mexiko
Celdaz Indien, Peru
Dabaz Brasilien, Indien
Dacarba Indien
Dacarbazin Malaysia, Österreich, Polen, Ungarn
Dacarbazina Argentinien, Brasilien, Chile, Ecuador, Italien, Kolumbien, Mexiko, Peru, Spanien
Dacarbazine Australien, Belgien, Dänemark, Großbritannien, Indien, Iran, Irland, Kanada, Neuseeland, Schweden, Vereinigte Staaten von Amerika
Dacarex Indien
Dacarin Indien
Dacarpalm Peru
Dacarzine Indien
Dacin Schweiz, Slowenien
Dacmed Indien
Daracina Kolumbien
Deticene Frankreich, Griechenland, Niederlande, Portugal, Saudi-Arabien
Detimedac Deutschland, Kolumbien, Rumänien, Tunesien
DTIC Neuseeland, Österreich, Vereinigte Staaten von Amerika
Fauldetic Portugal
Oncocarbil Argentinien, Ecuador, Peru
Tiferomed Mexiko
Stabilität der Lösung   Injektion   Stabilität der Lösung : Dacarbazine     
Behälter Lösungsmittel Konzentration Temperatur Konservierung Dauer der Stabilität Literaturverzeichnis
Glas Wasser für injektable präparate 10 mg/ml 25°C Ohne Licht
15 Stunde
3266
Stabilitätsdaten des Herstellers

Glas Wasser für injektable präparate 10 mg/ml 6-8°C Ohne Licht
14 Tag
3266
Stabilitätsdaten des Herstellers

Glas Wasser für injektable präparate 11 mg/ml 2-6°C Ohne Licht
7 Tag
1635
Evidenzgrad B

Glas Wasser für injektable präparate 11 mg/ml 20-25°C Ohne Licht
96 Stunde
1635
Evidenzgrad B

Glas 0,9% Natriumchlorid 0,64 mg/ml 23°C Ohne Licht
48 Stunde
1501
Evidenzgrad A

Glas 0,9% Natriumchlorid 0,64 mg/ml 4°C Ohne Licht
48 Stunde
1501
Evidenzgrad A

Polyvinylchlorid 0,9% Natriumchlorid 0,64 mg/ml 23°C Ohne Licht
48 Stunde
1501
Evidenzgrad A

Polyvinylchlorid 0,9% Natriumchlorid 0,64 mg/ml 4°C Ohne Licht
48 Stunde
1501
Evidenzgrad A

Polyvinylchlorid 0,9% Natriumchlorid 1,6 mg/ml 4°C Ohne Licht
30 Tag
40
Evidenzgrad D

Polyvinylchlorid 5% Glucose 1,4 mg/ml 2-6°C Ohne Licht
168 Stunde
1635
Evidenzgrad B

Polyvinylchlorid 5% Glucose 1,4 mg/ml 20°C-25°C Ohne Licht
72 Stunde
1635
Evidenzgrad B

Polyvinylchlorid 5% Glucose 1,6 mg/ml 4°C Ohne Licht
30 Tag
40
Evidenzgrad D

Polyäthylen 0,9% Natriumchlorid 0,64 mg/ml 23°C Ohne Licht
48 Stunde
1501
Evidenzgrad A

Polyäthylen 0,9% Natriumchlorid 0,64 mg/ml 4°C Ohne Licht
48 Stunde
1501
Evidenzgrad A

Nicht genau angegeben 0,9% Natriumchlorid mg/ml 25°C Ohne Licht
9 Stunde
3266
Stabilitätsdaten des Herstellers

Nicht genau angegeben 0,9% Natriumchlorid mg/ml 6-8°C Ohne Licht
6 Tag
3266
Stabilitätsdaten des Herstellers

Nicht genau angegeben 5% Glucose mg/ml 25°C Ohne Licht
9 Stunde
3266
Stabilitätsdaten des Herstellers

Nicht genau angegeben 5% Glucose mg/ml 6-8°C Ohne Licht
6 Tag
3266
Stabilitätsdaten des Herstellers


  Mentions Légales